L'Initiative de formation stratégique en surveillance communautaire : les principes du risque, des besoins et de la réceptivité dans le monde réel 2010-01
Résumé
La surveillance communautaire constitue la forme la plus courante de contrôle de nature correctionnelle. Le Canada compte environ 95 000 délinquants en probation ou en liberté conditionnelle sous surveillance, et les États-Unis, plus de cinq millions. En dépit de la prévalence de la surveillance communautaire, son efficacité reste méconnue. Le modèle fondé sur les principes du risque, des besoins et de la réceptivité (le modèle RBR) appliqué à la réadaptation des délinquants a déjà servi à l'élaboration de programmes de traitement, mais il n'a pas encore été mis en application dans le contexte de la surveillance individuelle. On a, dans le cadre de la présente étude, élaboré un programme de formation reposant sur le modèle RBR, puis on l'a offert à des agents de probation afin de les aider dans la surveillance directe de délinquants assujettis à une ordonnance de probation. Les agents ont été affectés au hasard soit au groupe suivant la formation, soit au groupe témoin. Après la formation, les agents de probation ont fait des enregistrements audio de certaines séances avec leurs clients, en vue d'une évaluation de l'utilisation des compétences acquises lors de la formation. D'après les résultats obtenus, les agents de probation formés emploient un nombre supérieur de compétences fondées sur les principes du risque, des besoins et de la réceptivité, et leurs clients présentent un taux de récidive plus faible. Il semble donc qu'une formation portant sur les principes démontrés du modèle RBR peut avoir un effet important sur le comportement des agents de probation et de leurs clients.
Note des auteurs
Les opinions exprimées dans le présent document sont celles des auteurs et ne correspondent pas nécessairement à celles de Sécurité publique Canada. Toute correspondance à propos du présent rapport doit être transmise par la poste à James Bonta, Groupe de la recherche correctionnelle, Sécurité publique Canada, 340, avenue Laurier Ouest, Ottawa (Ontario) Canada K1A 0P8, ou par courriel, à l'adresse Jim.Bonta@ps-sp.gc.ca.
Remerciements
En premier lieu, nous aimerons remercier les agents de probation et leurs dirigeants pour leur soutien et leur dévouement à ce projet. Sans leur soutien enthousiaste, la réussite de ce projet aurait été impossible.
Un certain nombre de personnes ont contribué à la réalisation du projet. Nous remercions Kyle Simpson, qui faisait partie de l'équipe de codage des enregistrements audio, ainsi que Leslie Helmus et Jennifer Ashton, qui ont participé au codage, à divers moments. Enfin, nous remercions Julie Blais, qui a codé les données sur la récidive.
Avril 2010
L'Initiative de formation stratégique en surveillance communautaire : les principes du risque, des besoins et de la réceptivité dans le monde réel
La probation et la libération conditionnelle constituent les deux formes les plus courantes de sanctions pénales imposées par les tribunaux. Le Canada compte plus de 95 000 délinquants sous surveillance communautaire (Sécurité publique Canada, 2009), et les États-Unis, plus de cinq millions (Glaze et Bonczar, 2007). En dépit de la prévalence de la surveillance communautaire, son efficacité reste en fait très méconnue. Dans un examen de 15 études sur l'efficacité de la surveillance communautaire, Bonta et ses collègues (Bonta, Rugge, Scott, Bourgon et Yessine, 2008) ont relevé une diminution moyenne de la récidive d'environ deux points de pourcentage chez les délinquants sous surveillance communautaire. En ce qui concerne la récidive violente, aucune réduction du taux de récidive n'a été associée à la surveillance communautaire. Ces constatations nous amènent à nous demander pourquoi la surveillance communautaire n'est pas plus efficace, compte tenu du grand nombre d'ouvrages portant sur l'efficacité des programmes de réadaptation des délinquants.
Réadaptation des délinquants selon le modèle fondé sur les principes du risque, des besoins et de la réceptivité (modèle RBR)
L'efficacité des interventions de traitement suscite de l'intérêt depuis longtemps. Le rapport dans lequel Martinson (Lipton, Martinson et Wilks, 1975; Martinson, 1974) avance que « rien ne fonctionne » a incité les défenseurs du principe de la réadaptation à prouver le contraire et à déployer des efforts concertés pour mieux comprendre dans quelles circonstances et auprès de qui la réadaptation est efficace. Des revues de littérature approfondies (p. ex. Gendreau et Ross, 1979 et 1987) de même que des études réalisées au moyen de techniques méta-analytiques plus complexes (Lipsey, 1989, 1995; Lösel, 1995), ont permis de constater que le traitement pouvait être efficace. Cependant, les chercheurs se sont concentrés sur la nécessité d'effectuer des évaluations méthodiques rigoureuses (p. ex. Lipsey, 2009) et ils n'ont accordé que peu d'attention au contenu des interventions en soi. Andrews et ses collègues (Andrews, Zinger, Hoge, Bonta, Gendreau et Cullen, 1990) ont adopté une approche plus conceptuelle pour examiner les ouvrages portant sur l'application du modèle RBR à l'évaluation et au traitement correctionnels.
Présenté pour la première fois en 1990 par Andrews, Bonta et Hoge, le modèle fondé sur les principes du risque, des besoins et de la réceptivité, aussi appelé modèle risque-besoins-réceptivité ou modèle RBR, est devenu l'un des modèles les plus utiles dans les interventions de traitement de nature correctionnelle (Ogloff et Davis, 2004). Bien que le nombre de principes ait beaucoup augmenté depuis cette première publication (le modèle comporte actuellement 15 principes; Andrews et Bonta, 2010a, Andrews et Bonta, 2010b), les trois grands principes exposés au départ demeurent au coeur du modèle RBR. Ces principes peuvent être résumés comme suit.
- Principe du risque : Adapter le niveau de services au risque de récidive du délinquant, offrir des services intensifs aux clients à risque élevé et des services minimaux aux clients à faible risque.
- Principe des besoins : Dans le traitement, évaluer les besoins liés aux facteurs criminogènes et les cibler dans l'intervention. Les facteurs criminogènes correspondent aux facteurs de risque dynamiques associés au comportement criminel (p. ex. les attitudes procriminelles, la toxicomanie, les compagnons criminels). Les besoins non liés aux facteurs criminogènes (p. ex. de vagues sentiments de détresse personnelle, l'estime de soi sans attitudes procriminelles) ne sont pertinents que dans la mesure où ils peuvent nuire aux changements aux besoins liés aux facteurs criminogènes.
- Principe de la réceptivité : Adapter le style et le mode d'intervention aux aptitudes et au style d'apprentissage du délinquant. Les techniques d'influence de type cognitivo-comportemental et d'apprentissage social (p. ex. les jeux de rôle, l'adoption de modèles prosociaux, la restructuration cognitive) sont habituellement celles qui fonctionnent le mieux auprès des délinquants.
L'un des premiers examens de l'application de ces trois principes a porté sur 80 études et a donné lieu à 154 estimations de l'ampleur de l'effet (Andrews, Zinger et coll., 1990). Une étude plus récente a permis d'obtenir 374 estimations de l'ampleur de l'effet (Andrews et Bonta, 2010a) et de dégager une tendance nette. Dans l'ensemble, le traitement entraîne une baisse de la récidive, c'est-à-dire que l'effet moyen observé est une réduction du taux de récidive de 0,08 ou de huit points de pourcentage. Cependant, plus les principes sont respectés, plus le taux de récidive fléchit. De fait, les interventions dans lesquelles aucun des trois principes n'est respecté (c.-à-d. les interventions auprès de délinquants à faible risque, où des méthodes thérapeutiques non comportementales visent les besoins non liés aux facteurs criminogènes) entraînent une légère augmentation de la récidive (r = -0,02; k = 124). Les programmes de traitement qui respectent au moins un des principes se traduisent par une légère diminution de la récidive (r = 0,02; k = 106). Ceux qui respectent deux principes donnent de plus amples effets (r = 0,18; k = 84), alors que ceux qui respectent les trois principes produisent les plus importantes diminutions de la récidive (r = 0,26; k = 60). Puisque les interventions correctionnelles efficaces se caractérisent essentiellement par le respect des principes du risque, des besoins et de la réceptivité (les principes RBR), il semble indiqué d'appliquer ces principes de façon plus systématique à la surveillance communautaire des délinquants.
Pour tenter de comprendre pourquoi la surveillance communautaire est moins efficace qu'on ne le croit généralement, Bonta et coll. (2008) ont examiné « la boîte noire de la surveillance ». Ils ont demandé à 62 agents de probation de faire des enregistrements audio de séances de surveillance de leurs clients (Bonta, Rugge, Sedo et Coles, 2004; Bonta et coll., 2008). Après analyse des 154 enregistrements audio (certains agents ont fourni plus d'un enregistrement), les auteurs ont constaté un respect relativement faible des principes RBR. Ainsi, hormis la toxicomanie et les difficultés familiales et conjugales, les besoins liés aux facteurs criminogènes ont rarement été abordés. Les attitudes procriminelles n'ont fait l'objet de discussions que dans 3 % des cas. De plus, moins du quart des rencontres ont témoigné du recours à des techniques cognitivo-comportementales, comme l'adoption de modèles prosociaux et l'exercice de jeux de rôle. Ces conclusions ouvrent la voie à une formation axée sur un meilleur respect des principes RBR dans la surveillance individuelle.
À notre connaissance, il n'y déjà a eu qu'une seule évaluation d'un programme de formation qui visait l'application d'au moins certains des principes RBR. Trotter (1996) a offert à un groupe de 30 agents de probation travaillant en Australie une formation de cinq jours sur l'adoption de modèles prosociaux, l'empathie et la résolution de problèmes. Après avoir suivi cette formation, 12 agents ont continué d'assister à des séances de formation et ont appliqué le nouveau modèle de surveillance (selon que le démontrent les notes relatives aux cas). Trotter (1996) a ensuite suivi 93 clients d'agents ayant employé l'approche enseignée et il a comparé leur taux de récidive à celui de 273 clients d'agents qui n'ont pas appliqué le modèle. Au terme de quatre ans, le taux de nouvelles condamnations s'élevait à 53,8 % chez les premiers et à 64 % chez les autres.
Présente étude
Le travail réalisé par Trotter (1996) est encourageant et il montre qu'il y a lieu d'approfondir la recherche sur la formation des agents de probation. Deux améliorations pourraient permettre de faire progresser la recherche. Premièrement, sur le plan conceptuel, la formation devrait inclure une combinaison de techniques encourageant un changement (c.-à-d. la réceptivité générale) et ciblant les besoins liés aux facteurs criminogènes. Trotter (1996) a voulu former les agents de sorte qu'ils manifestent plus d'empathie, qu'ils servent de modèles prosociaux et qu'ils appliquent des techniques de résolution de problèmes; la formation ne portait pas sur le repérage des besoins liés aux facteurs criminogènes. Deuxièmement, sur le plan méthodologique, il faudrait effectuer des évaluations expérimentales plus rigoureuses avec affectation aléatoire et mesure directe du comportement [p. ex. Trotter (1996) a mesuré le comportement en se servant d'un échantillon de commodité et des notes portées aux dossiers].
La présente étude tient compte des points faibles des travaux de Trotter (1996) et tire profit des plus récentes recherches menées sur les caractéristiques des thérapeutes efficaces dans les services correctionnels ainsi que des améliorations apportées au modèle RBR. Par exemple, une méta-analyse des habiletés en communications interpersonnelles des agents de correction a déjà révélé l'importance d'établir de bons rapports, de servir de modèle de comportement prosocial, de renforcer distinctement le comportement prosocial et de faire preuve de savoir-être (Dowden et Andrews, 2004). En outre, les attitudes sont considérées comme un facteur de risque/besoin important qui sous-tend tous les autres besoins liés aux facteurs criminogènes (Andrews et Bonta, 2010a). Cela signifie que tout besoin lié à un facteur criminogène, comme la toxicomanie, a pour origine une attitude qui alimente ce besoin (p. ex. « j'ai besoin de drogue pour faire face à mes problèmes »).
Un programme de formation qui intègre les progrès de la recherche sur les questions correctionnelles a été élaboré et dispensé à des agents de probation; il s'agit de l'Initiative de formation stratégique en surveillance communautaire (IFSSC). La formation sur l'IFSSC était scindée en deux grands volets, soit une formation de trois jours et des activités de maintien des compétences. La formation de trois jours était divisée en dix modules dont l'objectif était d'expliquer la teneur et la raison d'être de l'IFSSC; de faire ressortir les principes RBR et la façon dont ceux-ci peuvent être intégrés à la pratique; de souligner qu'il est important de cibler les attitudes, d'établir de bons rapports et d'avoir recours à des modèles de comportement prosocial, à des techniques de renforcement et à des techniques cognitivo-comportementales pour favoriser le changement; et de mettre en relief les avantages d'une structure de surveillance stratégique, et ce, lors de chaque séance individuelle, tout au long de la période de surveillance. Les activités de maintien des compétences ont comporté des rencontres mensuelles au cours desquelles les agents pouvaient discuter de leurs compétences, les mettre en pratique et obtenir une rétroaction clinique officielle à propos des séances menées avec leurs clients, ainsi qu'un cours de recyclage offert environ un an après la formation initiale.
Ce protocole de formation s'appuie à plusieurs égards sur le modèle RBR. D'abord, les agents de probation qui se sont portés volontaires pour participer au projet ont dû recruter des clients présentant un risque moyen ou élevé (principe du risque). Ensuite, l'élaboration des modules de formation a été axée sur le repérage des besoins liés aux facteurs criminogènes, avec une insistance sur le changement des attitudes procriminelles (principe des besoins). Enfin, les agents de probation ont reçu une formation sur diverses techniques d'intervention, variant de l'établissement de relations à la restructuration cognitive (principe de réceptivité). L'enregistrement audio de séances de surveillance a constitué la principale méthode employée pour déterminer dans quelle mesure les agents de probation appliquaient les compétences enseignées. L'enregistrement audio des interactions personnelles a souvent servi à former des cliniciens ou à parfaire leurs compétences dans un contexte psychothérapeutique, mais rarement dans un contexte correctionnel. Finalement, le programme de formation a été évalué dans le cadre d'une étude à échantillon aléatoire. Nous anticipions que la formation change le comportement des agents de probation en les amenant à respecter davantage les principes RBR et que cela entraîne par ricochet une baisse du taux de récidive chez leurs clients.
Méthode
Recrutement et affectation des agents de probation
Dans trois provinces canadiennes (Colombie-Britannique, Saskatchewan et Île-du-Prince-Édouard), des directeurs ont fait appel à des volontaires parmi les membres de leur personnel chargés de surveiller des délinquants adultes (âgés de plus de 17 ans au Canada). La demande de recrutement expliquait la nature du projet (c.-à-d. formation concernant un nouveau modèle de surveillance communautaire), énonçait les exigences générales liées à la recherche (notamment l'enregistrement audio de séances de surveillance et la participation à des réunions mensuelles de soutien clinique et à des téléconférences) et précisait que le personnel serait affecté de façon aléatoire à un groupe expérimental ou au groupe témoin. Avant d'être affectés à l'un ou l'autre de ces groupes, les agents de probation volontaires devaient fournir un enregistrement audio d'une séance de surveillance menée auprès d'un de leurs clients à risque moyen ou élevé.
Au total, 80 agents de probation se sont portés volontaires pour participer à l'étude (55 sur une possibilité de 268 en Colombie-Britannique, 15 sur 129 en Saskatchewan et 10 sur 15 à l'Île du-Prince-Édouard). Les agents de probation ont été affectés selon un rapport de 60/40 soit au groupe expérimental (agents qui suivraient une formation sur l'IFSSC), soit au groupe témoin (agents qui ne suivraient pas de formation). Nous avons suréchantillonné le groupe expérimental afin de disposer de suffisamment de données pour effectuer les analyses prévues relativement aux agents formés. Par la suite, 51 agents de probation ont suivi la formation de trois jours sur l'IFSSC, tandis que 29 agents ont été affectés au groupe témoin et n'ont suivi qu'un atelier d'une demi-journée concernant l'objectif de la recherche et les exigences du projet.
Même si tous les agents de probation ont participé de leur propre chef à l'étude, 28 d'entre eux n'ont pas fourni de données à la suite de la formation. Le taux d'attrition est à peu près le même dans les deux groupes [35,2 % dans le cas du groupe expérimental et 34,5 % dans le cas du groupe témoin; χ² (80, 1) = 0,005; p = 0,94]. Les raisons de l'attrition demeurent anodines dans 35,7 % des cas (p. ex. un changement de poste, un congé de maternité ou un congé prolongé); dans les autres cas (64,3 %), les données n'ont pas été fournies pour diverses raisons (p. ex. manque de temps, surcroît de travail, refus de participer des clients). Il n'existe aucune différence statistiquement significative entre les deux groupes pour ce qui est du motif de l'attrition. Enfin, pour nous assurer qu'il n'existait pas de différences au préalable entre les agents qui ont soumis des données à la suite de la formation et ceux qui n'en ont pas fournies, nous avons examiné certaines caractéristiques démographiques des agents participants et des agents ayant abandonné le projet. Nous n'avons relevé aucune différence significative sur le plan de l'âge, du nombre d'années d'expérience, du sexe ni de la race.
Recrutement des clients
Chaque agent de probation devait recruter deux délinquants à risque moyen et quatre délinquants à risque élevé. Quand un nouveau cas lui était attribué, l'agent de probation devait demander au probationnaire s'il était disposé à participer à la recherche. L'agent expliquait les conditions de la participation au client, puis celui-ci devait signer le formulaire de consentement s'il était d'accord. Cent quatre-vingt-trois clients se sont dits prêts à participer à l'étude, mais ceux-ci ont seulement été considérés comme des participants actifs à partir de la remise du premier enregistrement audio (habituellement dans les trois mois suivant le début de la surveillance communautaire). Vu le délai entre le moment où le consentement était donné et le moment où un premier enregistrement audio de séance était réalisé, nous n'avons finalement obtenu que 143 dossiers actifs.
Méthode de collecte des données
Parmi les 80 agents de probation qui se sont portés volontaires pour l'étude, 78 ont fourni un enregistrement audio avant de recevoir la formation (deux agents n'ont pu enregistrer de séance parce qu'ils n'ont pas reçu d'appareil d'enregistrement audionumérique avant la formation). Après l'affectation à l'un ou l'autre des deux groupes, les agents devaient recruter six nouveaux clients et enregistrer trois rencontres distinctes avec chacun au cours de la période de surveillance (une séance au début de la période de surveillance, une séance après trois mois de surveillance et une séance après six mois de surveillance). En outre, les agents devaient fournir des données démographiques et les antécédents criminels des délinquants ainsi que les résultats de leurs évaluations du risque et des besoins effectuée au moyen de l'outil utilisé par le secteur de compétence.
En tout, les 52 agents de probation participants ont recruté 143 clients. Trente-trois agents ayant reçu la formation sur l'IFSSC ont surveillé 100 clients et 19 agents du groupe témoin ont surveillé 43 clients. Même si les agents formés ont en moyenne recruté plus de délinquants (M = 3,03; ÉT = 1,70) que chacun des agents du groupe témoin (M = 2,26; ÉT = 1,63), cette différence n'est pas significative [t(50) = 1,59; p = 0,119].
Les agents de probation ont soumis 299 enregistrements audio après la formation. Toutefois, quatre enregistrements se terminent abruptement entre la première et la vingtième minute de la séance en raison de problèmes techniques. L'analyse porte par conséquent sur 295 enregistrements réalisés au cours de 220 séances menées par des agents formés sur l'IFSSC (98 enregistrements de type 1, c.-à-d. des enregistrements effectués au début de la période de surveillance; 71 enregistrements de type 2, réalisés au bout de trois mois; et 51 enregistrements de type 3, réalisés au bout de six mois) et de 75 séances des agents du groupe témoin (42 enregistrements de type 1; 22 enregistrements de type 2; 11 enregistrements de type 3). En moyenne, les agents formés [t(50) = 2,43; p = 0,02] ont fourni un nombre d'enregistrements audio considérablement plus élevé (M = 6,76; ÉT = 4,35) que les agents du groupe témoin (M = 4,00; ÉT = 3,09).
Intégrité de l'affectation aléatoire
Le succès de l'affectation aléatoire a été évalué de deux façons. Premièrement, les caractéristiques démographiques des agents de probation et des probationnaires nous ont permis de confirmer la similitude des groupes. Deuxièmement, nous avons effectué un examen rétrospectif de cas en sélectionnant un échantillon aléatoire de quatre délinquants à risque moyen ou élevé qui étaient sous la surveillance des agents de probation un an avant le début du projet. Cet examen ne visait pas tous les agents, car certains d'entre eux ne faisaient alors pas encore partie du personnel ou n'occupaient pas le même poste. Nous avons ainsi obtenu un échantillon rétrospectif de 185 clients dont nous avons pu analyser le taux de récidive pendant deux ans, en vue de déterminer si les agents des deux groupes se montraient préalablement aussi efficaces dans la surveillance des probationnaires.
Analyse des enregistrements audio
Deux points généraux ont fait l'objet principal du codage des enregistrements audio : 1) les sujets de discussion; 2) la qualité et l'utilisation des techniques d'influence. Une équipe de deux codeurs ayant reçu une formation ont codé chaque enregistrement audio par segments de cinq minutes. Pour qu'une variable soit codée comme présente, un segment de cinq minutes devait comporter au moins deux exemples de la variable en question (la simple mention d'un besoin lié à un facteur criminogène ne serait ainsi pas relevée). Après avoir codé les segments de cinq minutes, les codeurs ont écouté la totalité de l'enregistrement sans interruption, puis ils ont mesuré la qualité générale de la séance (de la manière décrite plus loin). Les deux codeurs ont évalué chacun de leur côté les segments de cinq minutes et la totalité de l'enregistrement, puis ils se sont entendus sur le résultat qui servirait de fondement à l'analyse. Une équipe distincte de deux codeurs indépendants a codé un échantillon aléatoire de 30 enregistrements audio aux fins d'une confirmation de la fiabilité des résultats.
Sujets de discussion
Nous nous attendions à ce que deux sujets codés ne se rapportent pas directement au comportement criminel : les conditions de probation et les besoins non liés aux facteurs criminogènes. Lors de la formation sur l'IFSSC, le personnel a été encouragé à réduire au maximum le temps consacré à ces deux sujets et à porter plus d'attention aux besoins liés aux facteurs criminogènes (c.-à-d. le trouble de la personnalité antisociale, le comportement antisocial des pairs, les difficultés familiales ou conjugales, l'emploi ou les études, la toxicomanie, les loisirs ou les activités récréatives, et la prépondérance des attitudes procriminelles).
Les discussions sur les sept besoins liés aux facteurs criminogènes ont fait l'objet d'un codage seulement quand ces besoins avaient déjà été signalés dans l'évaluation du risque et des besoins du client. Par exemple, si la toxicomanie avait été signalée comme besoin lié aux facteurs criminogènes dans l'évaluation du client et que l'agent et le client avaient discuté de la toxicomanie durant la séance, le sujet était codé en tant qu'occurrence de discussion au sujet du besoin de la toxicomanie. Par contre, si une discussion du même type se produisait avec un client chez qui aucun problème de toxicomanie n'avait été signalé, le sujet était codé en tant que discussion sur un besoin non lié à des facteurs criminogènes. Seules les discussions portant sur les attitudes procriminelles font exception à cette règle. Comme la formation ciblait les attitudes procriminelles, toutes les discussions qui portaient sur ce sujet ont fait l'objet d'un codage, même si cela ne constituait pas un problème selon l'évaluation du risque et des besoins du client.
Le score attribué dépend de la fréquence à laquelle les sujets de discussion susmentionnés ont été abordés pendant une séance. Plus précisément, les codeurs ont déterminé si le sujet avait été abordé ou non dans chaque segment de cinq minutes d'une séance. Le score accordé pour chacun des sujets correspond au nombre total de segments de cinq minutes où le sujet a été abordé. Le score peut s'établir entre un minimum de 0, lorsque le sujet de discussion n'a pas du tout été abordé, et un maximum dépendant de la longueur de la séance. Par exemple, une séance qui a duré de 56 à 60 minutes comportera au total 12 segments de cinq minutes, ce qui représente un score maximal de 12 pour chacun des sujets/besoins.
Comme les séances n'avaient pas toujours la même durée, nous avons évalué, en plus de la fréquence des sujets abordés, la proportion des segments durant lesquels l'agent et le délinquant ont réellement discuté du besoin ou du sujet signalé (nombre total de segments de cinq minutes durant lesquels le besoin signalé a été abordé, divisé par le nombre total de segments de cinq minutes que comprenait la séance). Une proportion proche de 1 signifie que le sujet a été abordé tout au long de la séance, au cours de chacun des segments de cinq minutes, alors qu'une proportion plus proche de 0 signifie qu'une très faible partie de la séance a porté sur ce besoin.
Techniques d'influence
En vue d'évaluer la qualité des compétences et des techniques d'intervention utilisées par les agents durant les séances, les codeurs ont évalué 24 points distincts associés à des compétences, à des techniques d'intervention et à des comportements chez l'agent de probation (p. ex. l'écoute, la rétroaction, le renforcement, l'attribution de devoirs et la restructuration cognitive). Ces points ont été évalués selon une échelle de huit points allant de 0 (absence de la compétence ou de la technique) à 7 (très bonne application de la compétence ou de la technique). Les 24 points ont ensuite été regroupés a priori en fonction de quatre concepts fondés sur le modèle RBR.
Le premier concept, Compétences en structuration,englobait huit aspects prévoyant l'évaluation de diverses compétences et activités de structuration auxquelles un agent pourrait avoir recours pendant une séance. Ces aspects comprenaient la qualité de l'accueil en début de la rencontre (c.-à-d. vérification d'une éventuelle crise, échange de banalités, etc.), un examen de la dernière séance, une discussion des devoirs faits et l'attribution de devoirs à faire, la structure globale de la séance, l'orientation générale de l'influence, les cibles d'intervention et la priorisation des besoins. Le deuxième concept, Compétences en établissement de relations, a été évalué en fonction de cinq aspects, nommément la qualité de la clarification des rôles, l'entente sur les objectifs, les capacités d'écoute active, l'efficacité de la rétroactions et le caractère positif des relations interpersonnelles dans leur ensemble. Le troisième concept visait l'Application de techniques comportementales (sept aspects liés au modelage général et spécifique, à l'utilisation efficace du renforcement et de la désapprobation, à la résolution des problèmes, à l'autogestion et à l'emploi de stratégies de répétition). Le quatrième concept touchait les Techniques cognitives (quatre aspect évaluant l'accent mis sur les attitudes procriminelles, l'application d'un modèle de comportement auprès du client ainsi que deux aspects évaluant la restructuration cognitive). On a finalement additionné les scores obtenus par rapport à chacun des quatre concepts pour obtenir une mesure globale des Compétences correctionnelles efficaces.
Comme ces concepts visaient à mesurer le niveau de compétence des agents plutôt que les caractéristiques des séances elles-mêmes, la stratégie ci-après a servi à regrouper les données après la formation parce que les agents de probation avaient fourni de multiples échantillons de leur comportement auprès de multiples clients. Conformément au principe général de psychométrie selon lequel l'observation d'échantillons multiples d'un comportement particulier ou d'une compétence donnée réduit la variance d'erreur et augmente la fiabilité, on a regroupé les données relatives à chacun des agents de probation. On a calculé, dans le cas de chaque agent, le score moyen de chacun des 24 aspects, quel que soit le nombre d'enregistrements audio fournis par l'agent. Ainsi, l'évaluation des compétences de certains agents peut reposer sur un seul enregistrement audio fourni après la formation (six agents en ont fourni un seul), alors que dans le cas d'autres agents, elle peut reposer sur plusieurs enregistrements audio (un agent a par exemple fourni en tout 18 enregistrements audio). Le score relatif à chaque concept correspond à la somme des scores moyens des éléments de l'échelle visée.
La cohérence interne a été évaluée au moyen du coefficient alpha de Cronbach appliqué aux 52 agents de probation qui ont fourni des enregistrements audio après la formation. La cohérence interne était acceptable dans les évaluations des Compétences en structuration (alpha = 0,81), des Compétences en établissement de relations (alpha = 0,70), des Techniques cognitives (alpha = 0,76) et des Compétences correctionnelles efficaces globales (alpha = 0,89). Seule la cohérence des Techniques comportementales (alpha = 0,56) était inférieure à 0,70.
Comme la notation des enregistrements audio reposait sur un consensus établi par deux équipes distinctes de deux codeurs indépendants, il n'est pas surprenant d'observer des coefficients d'objectivité élevés. On a déterminé le coefficient d'objectivité de l'ensemble des mesures des enregistrements audio au moyen de coefficients de corrélation intraclasse (CCI : modèle à effets aléatoires, bidirectionnel, à une seule mesure, avec concordance parfaite) et le pourcentage de concordance entre les équipes à moins de +/-1 point parmi un échantillon aléatoire de 30 enregistrements audio (environ 10 % de tous les enregistrements fournis après la formation). En ce qui concerne les variables des sujets de discussion, le CCI moyen s'établissait à 0,980 (ÉT = 0,031) et se situait entre 0,909 et 1,0 (le CCI n'a pu être calculé dans le cas des Loisirs/activités récréatives et des Besoins aigus en raison de l'absence de variance). Le pourcentage moyen de concordance à +/-1 s'élevait à 99,3 %. Le CCI moyen des cinq concepts généraux des techniques d'influence était de 0,96 (ÉT = 0,03) et variait entre 0,93 et 0,99.
Soutien clinique
Nous ne nous faisions pas d'illusion et nous savions que trois jours de formation ne suffiraient pas à modifier le comportement des agents de probation de manière significative. Par conséquent, nous avons utilisé trois stratégies pour assurer le maintien et l'amélioration des compétences à la suite de la formation initiale. Premièrement, les agents de probation qui ont suivi la formation sur l'IFSSC se sont réunis chaque mois en petits groupes de trois à 12 personnes pour discuter de leur utilisation des nouveaux concepts et des compétences acquises. Avant la tenue de ces réunions, les formateurs proposaient des exercices thématiques assortis d'exemples enregistrés (p. ex. un thème portait sur la façon d'enseigner un modèle de comportement à un client). Pendant que les agents de probation faisaient les exercices, un formateur était disponible par téléconférence pour fournir une assistance. Au fil des réunions mensuelles, les chercheurs ont évalué le niveau de participation des agents de probation, plus précisément l'assiduité aux réunions et l'intensité de la participation (p. ex. une participation active aux discussions).
Deuxièmement, tous les agents formés ont été encouragés à présenter des enregistrements audio pour obtenir une rétroaction clinique personnalisée. La rétroaction était axée sur l'application par l'agent des concepts, des compétences et des techniques de l'IFSSC, et visait particulièrement à récompenser et à encourager leur application. Troisièmement, un cours de recyclage d'une journée a été offert environ un an après la formation initiale.
Récidive
Les données sur les nouvelles condamnations sont tirées du Répertoire des dossiers judiciaires de la Gendarmerie royale du Canada, une base de données nationale sur les antécédents criminels des délinquants. Deux sortes d'analyses de la récidive ont été menées. L'un des ensembles d'analyses repose sur un échantillon de délinquants sélectionnés parmi les cas gérés par l'agent de probation avant qu'il ne fasse partie du projet – il est ci-après appelé échantillon rétrospectif. Dans le cas de cet échantillon, la récidive a été définie comme une nouvelle condamnation dans les deux ans suivant la mise en surveillance. Après le début du projet, on a par ailleurs établi un échantillon prospectif d'après les nouveaux cas obtenus par les agents. La récidive est alors définie de deux façons : 1) au moyen d'une période fixe de suivi qui tient compte de toute nouvelle condamnation dans les deux ans qui suivent le premier enregistrement audio; 2) au moyen d'une période variable de suivi de 2,3 ans qui fait l'objet d'une analyse de survie. Toutes les données sur la récidive ont été recueillies par un adjoint de recherche qui ne savait pas à quel groupe étaient affectés les agents.
Résultats
Succès de l'affectation aléatoire
Nous avons comparé diverses caractéristiques démographiques des agents de probation faisant partie des deux groupes. De plus, nous avons examiné les résultats qu'ils ont obtenus, avant la formation, lors d'un examen écrit testant leur connaissance des principes RBR et des ouvrages portant sur le traitement des délinquants. Aucune différence déterminante n'a été relevée (voir le tableau 1). Dans le même ordre d'idées, des analyses semblables des caractéristiques personnelles-démographiques et des antécédents criminels des probationnaires n'ont révélé que peu d'écarts importants entre les clients des agents de probation du groupe expérimental et ceux des agents du groupe témoin (voir le tableau 2). La seule différence qui mérite d'être signalée est celle de la race : la catégorie « Autres » (p. ex. les Asiatiques, les Indiens d'Asie) est plus fréquente dans le groupe témoin [χ² (2, N = 143) = 6,24; p = 0,044]. Bien que nous ayons demandé aux agents de recruter seulement des délinquants à risque moyen ou élevé (qui représentent tout de même 95,1 % de l'échantillon, n = 136), sept clients à faible risque ont été recrutés. Puisque chaque secteur de compétence utilise un outil différent pour évaluer le risque et les besoins chez un délinquant, nous avons coté les dix points de la sous-section « Antécédents criminels » de l'inventaire du niveau de service – révisé (INS-R) (Andrews et Bonta, 1995) en fonction des dossiers des délinquants, afin d'obtenir une mesure uniforme du risque que présente chacun d'eux. Les délinquants des deux groupes présentent un niveau de risque équivalent, selon les mesures effectuées au moyen de l'outil d'évaluation utilisé dans le secteur de compétence concerné et de la sous-section « Antécédents criminels » de l'INS-R. Les scores obtenus dans le cas de cette sous-section permettent de prévoir les taux de récidive au cours de deux ans, tant dans l'analyse rétrospective (r = 0,17; p = 0,019; n = 185) que dans l'analyse prospective (r = 0,37; p = 0,000; n = 112).
| Caractéristique | Groupe expérimental | Groupe témoin | Valeur t ou χ² |
|---|---|---|---|
| Âge moyen (ÉT) | 38,2 (11,7) (N = 29) | 38,4 (8,3) (N = 17) | t(44) = 0,06; p = 0,950 |
| Nombre moyen d'années d'expérience (ÉT) | 9,9 (9,4) (N = 29) | 9,1 (6,8) (N = 18) | t(45) = 0,31; p = 0,760 |
| Sexe (homme) | 30,3 % (n = 33) | 31,6 % (n = 19) | χ² (1, N = 52) = 0,01; p = 0,924 |
| Race | N = 29 | N = 19 |
|
| Blanc | 79,3% | 84,.2% |
|
| Autochtone | 6,9% | 0,0% | χ² (2, N = 48) = 1,38; p = 0,503 |
| Autres | 13,8% | 15,8% |
|
| Connaissance du modèle RBR et du traitement (ÉT) | 5,6 (1,80) (N = 33) | 6,3 (1,92) (N = 19) | t(50) = 1,28; p = .206 |
Remarque : N varie en raison de données manquantes. Aucune valeur t et χ² n'est significative.
Il était possible que les deux groupes diffèrent du point de vue de l'efficacité avant la formation. Autrement dit, l'un des groupes aurait pu comprendre des agents de probation qui exerçaient déjà une surveillance plus efficace de leurs clients. Pour vérifier cette possibilité, un échantillon aléatoire de quatre clients à risque moyen ou élevé a été prélevé dans la charge de travail de chaque agent un an avant le début de leur participation au projet (échantillon rétrospectif). Nous avons ensuite mesuré les données sur la récidive de ces 185 clients pendant deux ans. Comme le montre le tableau 2, il n'existait aucune différence statistiquement déterminante entre le groupe expérimental et le groupe témoin pour ce qui est des taux de récidive associés à l'échantillon rétrospectif des clients des agents de probation.
| Caractéristique | Groupe expérimental | Groupe témoin | Valeur t ou χ² |
|---|---|---|---|
| Âge moyen (ÉT) | 35,3 (11.5) | 32,6 (9,31) | t(141) = 1,38; p = 0,170 |
| Sexe masculin (%) | 83,0 | 93,0 | χ² (1,N = 143) = 2,51; p = 0,113 |
| Race (%) |
|
|
χ² (2,N = 143) = 6,24; p = 0,044 |
| Blanc | 71,0 | 67,4 |
|
| Autochtone | 28,0 | 23,3 |
|
| Autres | 1,0 | 9,3 |
|
| Employé (%) | 49,0 | 55,8 | χ² (1,N = 143) = 0,56; p = 0,455 |
| État matrimonial (%) |
|
|
χ² (2,N = 143) = 4,52; p = 0,104 |
| Célibataire | 39,0 | 58,1 |
|
| Marié/conjoint de fait | 35,0 | 25,6 |
|
| Séparé/divorcé/veuf | 26,0 | 16,3 |
|
| Infractions violentes répertoriées (%) | 56,0 | 60,5 | χ² (1,N = 143) = 0,25; p = 0,621 |
| Probation avec placement sous garde (%) | 40 | 41,9 | χ² (1, N = 143) = 0,04; p = 0,835 |
| Durée de la probation (en mois) | 15,7 (ÉT = 7,34) | 15,6 (ÉT = 6,68) | t(141) = 0,07; p = 0,.944 |
| Niveau de risque/besoin (%) |
|
|
χ² (2, N = 143) = 0,.58;p = 0,748 |
| Faible | 4,0 | 7,0 |
|
| Moyen | 40,0 | 39,5 |
|
| Élevé | 56,0 | 53,5 |
|
| Mean LSI-R Criminal History Score | 4,70 (ÉT = 2,56) | 4,79 (ÉT = 2,71) | t(141) = 0,19; p = 0,849 |
| Taux rétrospectif de récidive sur deux ans* | 46,7 % (N = 120) | 41,5% (N = 65) | χ² (185,1) = 0,.45; p = 0,503 |
* Certains des agents ne travaillaient pas un an avant le projet. Ainsi, ont été pris en compte 185 délinquants suivis par 29 agents de probation du groupe expérimental et 17 agents de probation du groupe témoin.
Sujets de discussion
Une séance durait en moyenne environ 26 minutes (ÉT = 11) et il n'existait pas d'écart significatif à cet égard entre le groupe expérimental et le groupe témoin (26 min 45 s et 24 min 36 s, respectivement; t(293) = 1,43; p = 0,15). La variable Proportion de la séance correspond au nombre total de segments de cinq minutes où un besoin signalé a été abordé, divisé par le nombre total de segments de cinq minutes que comprenait la séance. Les rapports les plus proches de 1 signifient que le sujet a été abordé tout au long de la séance, lors de chacun des segments de cinq minutes, alors que les rapports proches de 0 signifient qu'une très faible partie de la séance a été consacrée à ce besoin. L'examen des séances qui ont suivi la formation révèle un certain nombre de différences marquées entre les groupes. Premièrement, dans le groupe témoin, l'agent et son client ont discuté plus souvent de la question de l'emploi ou des études, un besoin lié aux facteurs criminogènes. Deuxièmement, dans le groupe expérimental, l'agent et son client ont consacré un pourcentage supérieur des séances à la discussion des attitudes procriminelles, que celles-ci aient ou non été signalées comme un besoin lié à un facteur criminogène.
En outre, les agents du groupe ayant suivi une formation sur l'IFSSC ont consacré une proportion considérablement (t(293) = 4,22; p = 0,000) plus élevée des séances à la discussion de besoins liés aux facteurs criminogènes (M = 0,62; ÉT = 0,28), et moins de discussions (0,38) ont porté sur des besoins non liés aux facteurs criminogènes et sur les conditions de probation (t(293) = 4,57; p = 0,000). À l'opposé, dans le groupe témoin, les discussions entre l'agent et le délinquant durant les séances de surveillance ont été à l'encontre du principe des besoins. En d'autres termes, une proportion supérieure de chaque séance a été consacrée à des besoins non liés aux facteurs criminogènes et aux conditions de probation.
Tableau 3 : Sujets de discussion |
Proportion de la séance | % des séances au cours desquelles le sujet a été abordé |
||
|---|---|---|---|---|
| Groupe expérimental | Groupe témoin | Groupe expérimental | Groupe témoin | |
|
M (SD) | M (SD) | % (N) | % (N) |
Conditions de probation |
0,12 (0,16) | 0,24 (0,27)*** | 41,8 (220) | 56,0 (75)* |
Besoins non liés aux facteurs criminogènes |
0,31 (0,26) | 0,43 (0,31)** | 79,5 (220) | 82,7 (75) |
Besoins non liés aux facteurs criminogènes et conditions de probation |
0,38 (0,27) | 0,55 (0,31)*** | ||
Attitudes – toutes les séances |
0,13 (0,198) | 0,02 (0,10)*** | 39,1 (220) | 6,7 (75)*** |
Attitudes – identification seulement |
0,16 (0,23) | 0,06 (0,15)* | 45,2 (84) | 17,9 (28)** |
Personnalité |
0,12 (0,20) | 0,11 (0,17) | 37,2 (188) | 36,5 (63) |
Pairs |
0,12 (0,19) | 0,10 (0,17) | 40,6 (165) | 35,1 (57) |
Situation familiale/conjugale |
0,23 (0,26) | 0,19 (0,26) | 56,9 (144) | 50,0 (40) |
Emploi/études |
0,16 (0,23) | 0,16 (0,23) | 48,0 (148) | 69,6 (46)** |
Toxicomanie |
0,24 (0,26) | 0,23 (0,25) | 63,7 (168) | 61,2 (49) |
Loisirs/activités récréatives |
0,004 (0,023) | 0,000 (0,000) | 2,6 (38) | 0 (3) |
N'importe quel besoin lié aux facteurs criminogènes |
0,61 (0,28) | 0,45 (0,31)*** |
|
|
* p < 0,05; ** p < 0,01; *** p < 0,001.
La variable % des séances au cours desquelles le sujet a été abordé permet de mesurer le pourcentage des séances au cours desquelles l'agent de probation et le client ont véritablement discuté d'un sujet en particulier. Cette variable diffère légèrement du paramètre Proportion de la séance, dans le cas duquel toute discussion du besoin ou du sujet est prise en compte, quelle que soit la durée de la discussion. Conformément au modèle de l'IFSSC, le groupe expérimental a engagé beaucoup plus de discussions sur les attitudes, que celles-ci aient été signalées comme un besoin (t(110) = 2,64; p = 0,010) ou non (t(293) = 5,50; p = 0,000). Réciproquement, chez les agents du groupe témoin, on constate un nombre beaucoup supérieur de séances au cours desquelles ont été abordées les conditions de probation et l'emploi ou les études, un besoin particulier lié aux facteurs criminogènes (t(192) = 2,59; p = 0,010).
Qualité des techniques d'intervention et des compétences des agents de probation
Nous avons relevé des différences marquées entre les groupes au titre de quatre des cinq concepts (voir le tableau 4). Les agents du groupe expérimental présentent des scores de qualité beaucoup plus élevés dans le cas des Compétences en structuration, des Compétences en établissement de relations et des Techniques cognitives, ainsi que des Compétences correctionnelles efficaces dans leur ensemble. Bien que les agents du groupe expérimental aient obtenu des scores plus élevés pour ce qui est de la qualité des Techniques comportementales (M = 10,23), comparativement aux agents du groupe témoin (M = 8,67), cette différence n'est pas statistiquement déterminante (t(50) = 1,89; p = 0,06).
| Compétence | Groupe expérimental (N = 33) | Groupe témoin (N = 19) |
|---|---|---|
| M (ÉT) | M (ÉT) | |
| Structuration des séances | 13,07 (5,59)** | 8,92 (3,69) |
| Établissement de relations | 13,61 (2,64)** | 11,56 (2,21) |
| Techniques comportementales | 10,23 (3,02) | 8,67 (2,54) |
| Techniques cognitives | 1,58 (2,21)** | 0,01 (0,03) |
| Compétences correctionnelles efficaces | 38,49 (11,38)** | 29,16 (7,27) |
** Différence marquée à p < 0,01.
L'un des principaux aspects de la formation visait l'amélioration des techniques d'intervention cognitive utilisées par les agents de probation, en vue de permettre à ces derniers de cibler plus efficacement les attitudes et les processus cognitifs procriminels. Vu l'importance de cet aspect, nous avons déterminé combien d'agents ont abordé au moins une fois la question des attitudes auprès de l'un de leurs clients et combien d'agents ont eu recours à des Techniques cognitives au moins une fois dans tous les enregistrements audio qu'ils ont fournis. Le groupe expérimental compte considérablement (χ² (1, N = 52) = 20,55; p = 0,001) plus d'agents (75,8 % des 33 agents) ayant abordé au moins une fois la question des attitudes auprès de leurs clients, comparativement au groupe témoin (10,5 % des 19 agents). En fait, 69,7 % des agents du groupe expérimental ont employé des Techniques cognitives au moins une fois dans l'ensemble des enregistrements audio fournis, soit beaucoup plus que ce qui est observé dans le groupe témoin, où ce n'est le fait que de 5,3 % des 19 agents (χ² (1, N = 52) = 20,14; p = 0,000).
Récidive
Après la formation, des différences sont apparues entre le groupe expérimental et le groupe témoin dans les taux de récidive sur deux ans. Dans le cas des probationnaires du groupe expérimental (N = 75), le taux de récidive s'est chiffré à 25,3 % (intervalle de confiance de 95 % = de 15,5 à 35,1) et, dans le cas des probationnaires du groupe témoin (N = 37), à 40,5 % (intervalle de confiance de 95 % = de 24,7 à 56,3; (χ2 (1, 112) = 2,71; p = 0,100). Nous avons aussi observé une différence entre les taux de nouvelles condamnations, avant et après la formation. Comme le montre le tableau 2, chez le groupe expérimental, le taux de récidive rétrospectif avant la formation était de 46,7 % (N = 120) e il a fléchi, après la formation, à 25,3 % (χ2 (1, 195) = 8,88; p = 0,003).
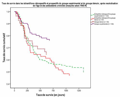
Les sous‑sections de l'INS‑R portant sur l'âge et sur les antécédents criminels constituent de bons prédicteurs de la récidive. La validité prédictive de la sous‑section des antécédents criminels a déjà été signalée; dans le cas de l'âge, la r est de ‑0,07 (p = 0,372; n = 185) dans l'échantillon rétrospectif et de ‑0,32 (p = 0,001; n = 112) dans l'échantillon prospectif (r = ‑0,16 dans l'échantillon global; N = 297). La figure 1 précise les taux de survie de la récidive dans les échantillons rétrospectifs et dans les groupes après la formation, après neutralisation de l'âge et des antécédents criminels (mesurés au moyen de l'INS‑R). Pour ce qui est de la récidive, les probationnaires du groupe expérimental présentent la plus longue période de survie, comparativement aux probationnaires du groupe témoin et aux probationnaires des analyses rétrospectives.
Nous avons étudié deux questions d'intérêt général et leur rapport avec la récidive. Premièrement, puisque la formation mettait l'accent sur l'application de techniques cognitives en vue de la modification des attitudes procriminelles, nous avons examiné les taux de récidive des clients en fonction de l'emploi de techniques cognitives par les agents de probation. Les clients exposés dans une quelconque mesure à de telles techniques (n = 42) ont présenté un taux de récidive de 19,0 %, comparativement à un taux de récidive de 37,1 % chez les clients des agents qui n'ont pas employé de techniques cognitives (χ2 (1, 112) = 4,07; p = 0,044).
Nous avons ensuite analysé les discussions portant sur les conditions de probation dans les premiers enregistrements audio (c.-à-d. les enregistrements de type 1), uniquement à des fins de concordance avec le rapport de Bonta et coll. (2004, 2008). Nous avons pu établir un lien positif entre le taux de récidive et le nombre de segments de cinq minutes consacrés aux conditions de probation, après neutralisation de la durée des séances et des risques/besoins des délinquants (r = 0,25; p = 0,052). Comme le codage des enregistrements audio en segments de cinq minutes nous imposait des limites, nous avons établi un point de démarcation à 15 minutes. Cette approche a considérablement réduit la taille de l'échantillon dans le cas des discussions ayant duré plus de 15 minutes (n = 14), ainsi que l'efficacité statistique, mais la tendance relevée reste instructive. Les séances au cours desquelles l'agent et le client ont discuté durant plus de 15 minutes des conditions de probation sont associées à un taux de récidive plus élevé que les séances au cours desquelles ce sujet de discussion (n = 97) a occupé moins de 15 minutes [50,0 % comparativement à 27,8 %; χ2 (1, 111) = 2,83; p = 0,093].
Si nous passons aux techniques d'influence (p. ex. les compétences en matière d'établissement de relations, de structuration des séances), seules les techniques cognitives permettent de prévoir la récidive, après neutralisation du risque que présente le délinquant (c.-à-d. les antécédents criminels selon l'INS-R). Le regroupement des données par agent de probation produit une corrélation personne-produit de -0,25 (n = 109; p = 0,009).

Soutien clinique
Un soutien clinique a été offert au moyen de réunions mensuelles, de rétroactions individuelles et de cours de recyclage. Les trois points suivants ont servi à évaluer la participation globale de chaque agent de probation au soutien clinique : Réunions mensuelles, Rétroactions et Cours de recyclage. Nous avons, en divisant la participation aux réunions mensuelles à la médiane, accordé aux agents soit un point pour une faible participation (cinq réunions ou moins), soit deux points pour une forte participation (six réunions ou plus). Nous avons ensuite multiplié le résultat par les cotes de participation et dichotomisé le produit (qui se situait entre 1 et 6) à l'aide de la médiane. Dans le cas de l'aspect Rétroactions, nous avons accordé deux points aux agents qui ont obtenu une rétroaction à propos de deux enregistrements audio ou plus, un point à ceux qui ont obtenu une rétroaction à propos d'un enregistrement audio, et aucun point à ceux qui n'avaient obtenu aucune rétroaction (n = 13). Dans le cas de l'aspect Cours de recyclage, nous avons accordé un point aux agents qui ont assisté au cours de recyclage et n'avons attribué aucun point à ceux qui n'y ont pas assisté. Nous avons calculé le score global de la Surveillance continue en faisant la somme des trois éléments précités (score moyen de 2,7; ÉT = 1,5). Nous avons, pour certaines analyses, regroupé les agents de probation en deux groupes, en fonction du score calculé pour la Surveillance continue. Les agents qui ont obtenu un score de 3 ou moins ont été classés dans le groupe « à faible participation » et les agents qui ont obtenu un score de 4 ou plus ont été classés dans le groupe « à forte participation ».
Nous avons évalué les sujets de discussion et les compétences à long terme des agents de probation en examinant seulement les séances qui avaient été enregistrées au moins neuf mois après la formation initiale de trois jours. Au total, 76 enregistrements audio fournis par 23 des 33 agents du groupe expérimental répondaient à ce critère. Comme dix agents du groupe expérimental avaient déjà fourni toutes leurs données dans les neuf mois qui ont suivi la formation, leurs enregistrements n'ont pas été inclus dans cette analyse. Nous avons pu, en regroupant tous les enregistrements audio que les agents avaient enregistrés au moins 270 jours après la formation, évaluer ce qu'était leur comportement à un moment où la plus grande partie de la surveillance clinique avait déjà été assurée.
Nous nous attendions à ce qu'une plus forte participation des agents au processus de soutien clinique soit associée à de meilleures compétences et à de meilleures discussions avec les clients. Le tableau 5 révèle que nous pouvons établir des corrélations positives entre les Techniques cognitives, d'une part, et chacun des trois aspects du soutien clinique et la Surveillance continue globale, d'autre part. Nous observons une tendance semblable pour ce qui est des Compétences en structuration des séances, des Techniques comportementales et des Compétences globales en application des principes RBR, bien que la hausse n'atteigne pas le niveau statistique significatif de p = 0,05. Seules les Compétences en établissement de relations ne suivent pas cette tendance; elles semblent être plutôt associées de façon ténue et négative à la participation aux activités de soutien clinique. En ce qui concerne les sujets de discussion, une tendance semblable émerger: il semble exister une corrélation positive entre une participation accrue aux activités de soutien clinique et la tenue de discussions souhaitables (p. ex. plus de discussions sur les attitudes procriminelles et moins de discussions sur les besoins non liés aux facteurs criminogènes). Nous observons la même tendance dans le cas du Ratio de la séance : besoins liés aux facteurs criminogènes, mais la tendance relevée n'est pas statistiquement significative.
Comme nous l'avons déjà signalé, les agents du groupe expérimental ont été regroupés en deux groupes, selon qu'ils ont beaucoup participé (ceux qui ont obtenu un score supérieur à 4 dans la mesure globale de la Surveillance continue; n = 10) ou peu participé (ceux qui ont obtenu un score de 3 ou moins; n = 13) aux activités. Le tableau 6 fait état des résultats généraux. L'analyse de variance révèle des différences marquées entre les groupes pour ce qui est des Techniques cognitives (F(2,39) = 14,91; p < 0,001) et des Compétences globales en application des principes RBR (F(2,39) = 4,71; p = 0,015). En ce qui concerne les sujets de discussion, nous observons des différences prononcées par rapport à chacune des variables. Nous avons en outre constaté que le taux de récidive des clients du groupe d'agents à forte participation s'set chiffré à 22 %, comparativement à 27,1 % chez les clients des agents à faible participation.
| Compétences | Réunions mensuelles | Rétroaction | Cours de recyclage | Surveillance continue |
|---|---|---|---|---|
| Structuration des séances | 0,23 | 0,6 | 0,25 | 0,24 |
| Établissement de relations | -0,05 | -0,10 | 0,05 | -0,06 |
| Techniques comportementales | 0,13 | 0,27 | 0,11 | 0,22 |
| Techniques cognitives | 0,37* | 0,40* | 0,42** | 0,46** |
| Compétences globales en application des principes RBR | 0,24 | 0,24 | 0,28 | 0,30 |
| Proportion de la séance |
|
|
|
|
| Ratio de la séance : attitudes procriminelles | 0,21 | 0,36* | 0,28 | 0,35* |
| Ratio de la séance : besoins liés aux facteurs criminogènes | 0,24 | 0,22 | 0,31 | 0,29 |
| Ratio de la séance : besoins non liés aux facteurs criminogènes | -0,45 ** | -0,48** | -0,17 | -0,46** |
| Ratio de la séance : conditions de probation | -0,17 | -0,16 | -0,05 | -0,16 |
* p < 0,10; ** p < 0,05.
Compétences |
Niveau de participation | |
|---|---|---|
| Forte participation | Faible participation | |
| M (ÉT) | M (ÉT) | |
| Structuration des séances | 14,39 (6,57) | 10,03 (7,31) |
| Établissement de relations | 12,16 (1,92) | 12,55 (1,55) |
| Techniques comportementales | 10,42 (1,99) | 8,92 (2,88) |
| Techniques cognitives* | 3,73 (3,50) | 0,69 (1,04) |
| Compétences globales en application des principes RBR* | 40,70 (12,11) | 32,19 (10,69) |
| Contenu de la séance |
|
|
| Ratio de la séance : attitudes procriminelles* | 0,231 (0,19) | 0,105 (0,13) |
| Ratio de la séance : besoins liés aux facteurs criminogènes* | 0,644 (0,18) | 0,594 (,25) |
| Ratio de la séance : besoins non liés aux facteurs criminogènes* | 0,187 (0,11) | 0,371 (,33) |
| Ratio de la séance : conditions de probation* | 0,068 (0,05) | 0,127 (,16) |
* Analyse de variance p < 0,05
Analyse
Nombre d'ouvrages ont récemment été publiés à l'appui de l'efficacité de la réadaptation des délinquants du point de vue de la réduction de la récidive. Le modèle fondé sur les principes du risque, des besoins et de la réceptivité (le modèle RBR) nous aide à comprendre ce qui fonctionne. Bien que les principes du risque, des besoins et de la réceptivité (principes RBR) aient déjà servi à l'élaboration de programmes d'intervention auprès d'un groupe, ils n'avaient pas encore été systématiquement appliqués dans le cadre de la surveillance individuelle des délinquants. Une étude portant sur des agents de probation du Manitoba a par exemple fait ressortir un faible respect des principes RBR (Bonta et coll., 2004, 2008). En dépit de certains efforts déployés pour former le personnel chargé de la surveillance communautaire des délinquants (p. ex. Trotter, 1996), l'application des principes RBR reste partielle, et on n'a pas encore effectué une évaluation rigoureuse de la formation sur ces principes. Dans la présente étude, nous avons élaboré une approche plus approfondie en vue de bien former les agents de probation pour qu'ils appliquent les principes RBR lors des séances de surveillance de leurs clients et nous avons évalué les résultats au moyen d'une expérience randomisée.
Le modèle de l'Initiative de formation stratégique en surveillance communautaire (IFSSC) incorpore les principes clés du modèle RBR à la surveillance communautaire. Les délinquants qui présentent un risque moyen ou élevé sont les mieux servis par cette initiative suivant laquelle les agents de probation acquièrent les compétences cognitivo-comportementales requises pour contrer les attitudes procriminelles et dysfonctionnelles sous-jacentes des besoins liés aux facteurs criminogènes. Dans la présente étude, les agents de probation ont été affectés au hasard soit au groupe expérimental (devant suivre une formation de trois jours sur le modèle de l'IFSSC), soit au groupe témoin (reproduisant les conditions de services habituelles). Les agents de probation devaient enregistrer certaines de leurs séances menées auprès des clients et ces enregistrements audio ont été codés en fonction du degré de respect des principes des besoins et de la réceptivité. La présente étude vise à répondre à deux questions : 1) Est-ce que la formation a amené les agents de probation à changer de comportement? 2) Y a-t-il eu modification du comportement criminel ultérieur des clients de ces agents?
Comportement des agents de probation
Les 52 agents de probation qui ont participé à l'étude ont fourni 295 enregistrements audio de rencontres avec 143 clients. Ces enregistrements audio ont fait l'objet d'une analyse des sujets abordés (une attention particulière a été portée aux attitudes procriminelles et aux besoins liés aux facteurs criminogènes) et d'un examen des diverses techniques d'influence visant à provoquer un changement. Un plus grand respect du principe des besoins a été observé chez les agents ayant reçu une formation sur l'IFSSC. Les agents formés ont effectivement consacré une proportion supérieure des séances de surveillance (0,61) à la discussion avec leurs clients des besoins liés aux facteurs criminogènes, comparativement aux agents du groupe témoin (0,45). L'examen des discussions ayant porté sur chacun des sept besoins liés aux facteurs criminogènes révèle que les agents du groupe expérimental s'en sortent mieux, sauf en ce qui concerne l'emploi et les études. On ignore pourquoi au juste les agents de probation du groupe témoin sont mieux prédisposés que les agents du groupe expérimental à s'occuper de ce dernier besoin. Dans l'étude menée au Manitoba (Bonta et coll., 2004, 2008), 57,1 % des séances ont porté sur ce besoin particulier, soit un pourcentage se situant à mi-chemin entre les valeurs obtenues dans la présente étude (48 % chez les agents du groupe expérimental et 69,6 % chez les agents du groupe témoin). Il est possible que l'insistance placée sur les attitudes procriminelles durant la formation ait amené les agents du groupe expérimental à se concentrer davantage sur des aspects autres que l'emploi et les études.
Le fait que l'accent ait été mis sur les attitudes procriminelles durant la formation sur l'IFSSC semble avoir eu un effet marqué sur le comportement des agents de probation du groupe expérimental. Dans tous les enregistrements audio, les discussions portant sur les attitudes procriminelles sont près de six fois plus nombreuses dans le cas des agents du groupe expérimental que dans celui des agents du groupe témoin (39,1 %, comparativement à 6,7 %; voir le tableau 3). Ce taux élevé est sans doute attribuable à la formation, au cours de laquelle les agents de probation ont appris que les attitudes exercent un effet sur les autres besoins liés aux facteurs criminogènes. Ainsi, quand un client éprouvait des difficultés familiales ou conjugales représentant un besoin lié aux facteurs criminogènes, l'agent de probation formé était amené à parler des attitudes qui posent des problèmes à cet égard (par exemple plutôt que de lui conseiller de s'éloigner en attendant que le calme revienne, il lui demande quelles sont les pensées qui provoquent sa colère et comment celles-ci peuvent être modifiées).
Ces conclusions concernant les attitudes procriminelles peuvent être comparées à celles tirées par Bonta et coll. (2004, 2008) à propos des agents de probation du Manitoba. Dans cette autre étude, les attitudes jugées inquiétantes n'ont fait l'objet de discussions que lors de 8,8 % des séances de surveillance. Dans la présente étude, les agents de probation ont discuté des attitudes lors de 17,9 % des séances, soit deux fois plus fréquemment. C'est peut-être une bonne nouvelle puisque cela signifie que les agents de probation commencent à prendre conscience de l'importance des attitudes procriminelles. La formation peut toutefois amener les agents de probation à porter beaucoup plus d'attention à cet important besoin lié aux facteurs criminogènes. De fait, chez les agents de probation du groupe expérimental, le taux de discussion des attitudes procriminelles s'élève à 45,2 %.
Est également digne de mention la différence observée au chapitre de l'attention portée aux besoins non liés aux facteurs criminogènes et aux conditions de probation. Les agents du groupe témoin ont consacré une proportion supérieure de leurs séances à ces sujets, comparativement aux agents du groupe expérimental (respectivement, 0,55 et 0,38). Selon les travaux portant sur le traitement en général et d'après les principes RBR, ce type d'attention est inefficace (Andrews, Zinger et coll., 1990; Andrews et Bonta, 2010a, 2010b). Même si les agents de probation ont pour responsabilité de veiller à l'application des conditions imposées par les tribunaux et de prendre des mesures pour faire face aux crises et aux problèmes de nature autre que criminogène, ils doivent savoir gérer leur temps pour aborder les facteurs qui sont les plus directement associés au comportement criminel. Quand plus de la moitié du temps passé avec un probationnaire est consacré à ces sujets, comme c'est le cas dans le groupe témoin, il reste peu de temps pour les besoins liés aux facteurs criminogènes.
La mesure dans laquelle diverses techniques d'influence ont été employées diffère selon que les agents de probation faisaient partie du groupe expérimental (ayant reçu une formation sur l'IFSSC) ou du groupe témoin. Premièrement, les agents formés ont structuré plus clairement chacune de leurs séances, conformément aux grandes lignes énoncées pendant la formation. Ils ont par conséquent mis l'accent, lors de leurs séances, sur l'enseignement et ils ont consacré relativement moins de temps à des sujets non pertinents. Les séances de surveillance des agents du groupe témoin semblent moins structurées et moins ciblées. La formation sur l'IFSSC comportait des modules sur l'établissement de relations et sur l'application de techniques cognitives, en vue du remplacement des attitudes procriminelles par des attitudes prosociales. Les analyses des enregistrements audio révèlent que les agents du groupe expérimental ont fait preuve de meilleures compétences en établissement de relations et qu'ils se sont davantage servis de techniques cognitives pour intervenir vis-à-vis des besoins liés aux facteurs criminogènes de leurs clients (voir le tableau 4).
Il est rare qu'on ait recours à des techniques cognitives en dehors d'une formation expresse. Un seul agent de probation du groupe témoin a utilisé une technique cognitive, alors que 23 agents (69,7 %) de probation du groupe expérimental ont eu recours à ce genre de techniques. Selon le principe de la réceptivité, les interventions cognitivo-comportementales sont associées à une réduction du taux de récidive, et leur utilisation devrait être encouragée. Toutefois, les agents de probation doivent suivre une formation pour apprendre à appliquer ces techniques, car elles ne viennent pas naturellement. Parmi les compétences générales, seules celles liées aux Techniques comportementales ne permettent pas de faire une distinction entre les deux groupes. Cela peut s'expliquer par le fait que la notation de ce concept repose largement sur des comportements comme le renforcement et l'encouragement; par ailleurs, parmi les cinq compétences d'intervention, il s'agit de celle qui présente le moins de cohérence interne. Dans l'étude de Bonta et ses collègues (2004, 2008), les agents de probation semblent afficher un score de base élevé à ce chapitre (comportement observé chez près de 95 % d'entre eux).
Soutien clinique
Après avoir suivi les trois jours de formation, les agents de probation ont pu maintenir et parfaire leurs compétences par divers moyens. Ils ont été encouragés à assister à des réunions mensuelles, à suivre un cours de recyclage et à obtenir une rétroaction individuelle sur leurs séances enregistrées. Les agents n'ont pas tous pleinement tiré profit de ce soutien clinique, mais les résultats révèlent que la participation aux activités de soutien clinique a été importante.
Les agents de probation qui ont davantage participé aux activités de soutien clinique ont su mieux appliquer les compétences acquises pendant la formation et orienter plus stratégiquement les discussions vers des sujets importants (c.-à-d. vers les besoins liés aux facteurs criminogènes). La rétroaction clinique et la participation au cours de recyclage sont plus précisément associées à l'amélioration des compétences. Des conclusions semblables ont déjà été tirées à propos de la formation sur les techniques d'entrevue motivationnelle offerte au personnel travaillant auprès de clients toxicomanes (Miller, Yahne, Moyers, Martinez et Pirritano, 2004); des interventions en milieu familial auprès des jeunes délinquants présentant un niveau de risque élevé (Henggeler, Schoenwald, Borduin, Rowland et Cunningham, 2009); et des psychothérapeutes en général (Boswell et Castonguay, 2007).
Les effets du soutien clinique ressortent le plus clairement dans la démonstration des compétences cognitivo-comportementales. Les agents de probation ont sans aucun doute eu plus de difficulté à assimiler l'importance du modèle cognitivo-comportemental et à mettre en application les principes de la restructuration cognitive. Les trois jours de formation ont été insuffisants pour permettre aux agents de faire l'acquisition de ces compétences, et le soutien clinique a joué un rôle essentiel dans leur acquisition.
Récidive des clients
C'est une chose de montrer que la formation peut entraîner un changement de comportement chez les agents de probation, mais il est tout aussi important de montrer que les agents formés peuvent exercer une influence sur le comportement criminel de leurs clients. Au chapitre du taux de nouvelles condamnations au cours d'une période de deux ans, nous avons relevé une différence de 15 % entre les deux groupes, au profit des clients des agents formés. Cependant, sans doute en raison de la petite taille de l'échantillon, les intervalles de confiance se chevauchent. Le taux de récidive plus faible observé chez les clients des agents de probation ayant reçu une formation sur l'IFSSC semble néanmoins significatif pour un certain nombre de raisons.
Premièrement, nous avons observé une baisse des taux de récidive chez les clients du groupe expérimental entre la période qui précède la formation et celle qui la suit, mais n'avons relevé aucun changement chez les clients du groupe témoin (voir le tableau 2). Deuxièmement, une analyse de survie effectuée après neutralisation de l'âge et des antécédents criminels a fait ressortir une différence entre les clients des agents formés et ceux des autres agents. Troisièmement, la baisse de 15 % du taux de récidive des clients dont les agents avaient été formés pour mieux suivre les principes RBR concorde avec les conclusions tirées dans l'ensemble des ouvrages portant sur le traitement « dans le monde réel ». Selon une méta-analyse de 11 études suivant les principes RBR et ayant été menées dans des conditions ordinaires, l'effet moyen est de r = 0,15 et se traduit par une réduction de 15 % du taux de récidive (Andrews et Bonta, 2010a). Enfin, les clients des agents ayant grandement participé au soutien clinique offert ont présenté un taux de récidive inférieur de 19 % à celui des clients des agents du groupe témoin.
Le programme de formation offert aux agents de probation portait sur diverses compétences. Les résultats obtenus font ressortir deux possibilités quant à ce qui pourrait lier le comportement des agents au comportement criminel des probationnaires. La première possibilité réside dans l'utilisation que fait l'agent de ses compétences en techniques cognitives. Le contrôle du niveau de risque que présente un délinquant au moyen de techniques cognitives est associé à une réduction de la récidive (r = -0,25). Puisqu'un seul agent du groupe témoin a fait usage de techniques cognitives, on peut penser que le taux de récidive du groupe expérimental a fléchi sous l'effet de l'utilisation de techniques cognitives.
La deuxième possibilité réside dans le fait que les discussions portant sur les conditions de probation peuvent avoir exercé un effet sur la récidive, sauf que dans ce cas, l'effet est négatif. Plus les agents consacrent de temps à la discussion des conditions de probation, plus le taux de récidive est élevé (r = 0,25). Bonta et coll. (2004, 2008) étaient déjà arrivés à la même conclusion. Cette constatation concorde avec les conclusions des ouvrages publiés au sujet du traitement des délinquants et de l'ensemble encore plus vaste d'ouvrages traitant de psychothérapie. L'établissement de relations positives entre le professionnel aidant et le client se trouve au cœur de nombreuses théories sur le changement thérapeutique (Wampold, 2007). En conséquence, l'insistance sur les conditions de probation ou sur le rôle d'exécution de la loi qu'assume l'agent de probation fait obstacle à l'établissement de relations positives et peut nuire à la réadaptation du délinquant (Andrews et Bonta, 2010a et 2010b; Trotter, 2006; Skeem, Eno Louden, Polaschek et Camp, 2007).
Résumé et conclusions
Il est possible d'offrir aux agents de probation une formation pour qu'ils se conforment mieux aux principes du risque, des besoins et de la réceptivité, et une telle formation a des avantages positifs. La formation sur l'IFSSC et le soutien clinique assuré par la suite ont entraîné un changement de comportement, tant chez les agents de probation que chez les délinquants. Compte tenu du fait qu'une séance de surveillance ne dure en moyenne que 26 minutes, la réduction du taux de récidive des délinquants observée a été d'autant plus frappante.
Il faut toutefois faire preuve de prudence avant de faire des généralisations à partir des résultats de la présente étude. Il faut en effet se rappeler deux points importants. Premièrement, la taille relativement modeste de l'échantillon atténue l'efficacité de certaines analyses statistiques. Deuxièmement, les agents de probation participants s'étaient portés volontaires. On ignore quelle serait l'efficacité de l'IFSSC si elle était mise en œuvre auprès de personnel qui opposerait plus de résistance au nouveau modèle. Nous croyons néanmoins qu'avec le soutien de l'organisation et des gestionnaires, il serait possible de vaincre la réticence du personnel au sujet d'une formation sur l'IFSSC.
La formation sur l'IFSSC représente, dans son ensemble, la première évaluation expérimentale d'un programme de formation fondé sur le respect des principes du risque, des besoins et de la réceptivité. Des revues de littérature ont fait état des pratiques du personnel jugées importantes (Dowden et Andrews, 2004). Des éléments de ces « pratiques correctionnelles de base » ont été évalués dans le cadre de la formation offerte aux agents de probation (Trotter, 1996). Cependant, aucun programme de formation complète sur les principes du risque, des besoins et de la réceptivité n'avait encore été mis sur pied. Pour les agents de probation qui sont chargés de la surveillance communautaire et pour les organismes correctionnels qui veulent savoir « ce qui fonctionne », cette étude fournit des résultats encourageants et mériterait d'être reproduite.
Bibliographie
- Andrews, D. A., et J. Bonta. 2010a. The psychology of criminal conduct, 5e édition, New Providence (NJ), LexisNexis Matthew Bender.
- Andrews, D. A., et J. Bonta. 2010b. « Rehabilitating criminal justice policy and practice », Psychology, Public Policy and Law, vol. 16, p. 39-55.
- Andrews, D. A., J. Bonta et R. D. Hoge. 1990. « Classification for effective rehabilitation: Rediscovering psychology », Criminal Justice and Behavior, vol. 17, p. 19-52.
- Andrews, D. A., I. Zinger, R. D. Hoge, J. Bonta, P. Gendreau et F. T. Cullen. 1990. « Does correctional treatment work?: A clinically relevant and psychologically informed meta-analysis », Criminology, vol. 28, p. 369-404.
- Bonta, J., T. Rugge, B. Sedo et R. Coles. 2004. La gestion des cas au sein des services de probation du Manitoba, Ottawa, Sécurité publique et protection civile, Canada. Rapport pour spécialistes 2004-01.
- Bonta, J., T. Rugge, T. Scott, G. Bourgon et A. Yessine. 2008. « Exploring the black box of community supervision », Journal of Offender Rehabilitation, vol. 47, p. 248-270.
- Boswell, J. F., et L. G. Castonguay. 2007. « Psychotherapy training: suggestions for core ingredients and future research », Psychotherapy: Theory, Research, Practice, Training, vol. 44, p. 378-383.
- Dowden, C., et D. A. Andrews. 2004. « The importance of staff practice in delivering effective correctional treatment: A meta-analytic review of core correctional practice », International Journal of Offender Therapy and Comparative Criminology, vol. 48, p. 203-214.
- Gendreau, P., et R. R Ross. 1979. « Effective correctional treatment: Bibliotherapy for cynics », Crime & Delinquency, vol. 25, p. 463-489.
- Gendreau, P., et R. R. Ross. 1987. « Revivication of rehabilitation: Evidence from the 1980s ». Justice Quarterly, vol. 4, p. 349-408.
- Glaze, L. E., et T. P. Bonczar. 2007. « Probation and Parole in the United States, 2006 », Bureau of Justice Statistics Bulletin, Office of Justice Programs, U. S. Department of Justice.
- Henggeler, S.W., S. K. Schoenwald, C. M. Borduin, M. D. Rowland et P. B. Cunningham. 2009. Multisystemic treatment of antisocial behavior in children and adolescents, 2e édition, New York, Guilford.
- Lipsey, M. W. 1989. The efficacy of intervention for juvenile delinquency: Results from 400 studies, document présenté lors de la 41e rencontre annuelle de l'American Society of Criminology, novembre, Reno (NV).
- Lipsey, M. W. 1995. « What do we learn from 400 research studies on the effectiveness of treatment with juvenile delinquency? », p. 63-78 dans J. McGuire (dir.), What works: Reducing reoffending, guidelines from research to practice, West Sussex, England, John Wiley & Co.
- Lipsey, M. W. 2009. « The primary factors that characterize effective interventions with juvenile offenders: A meta-analytic overview », Victims & Offenders, vol. 4, p. 124-147.
- Lipton, D., R. Martinson et J. Wilks. 1975. The effectiveness of correctional treatment: A survey of treatment evaluation studies, New York, Praeger.
- Lösel, F. 1995. « The efficacy of correctional treatment: A review and synthesis of meta-evaluations », p. 79-111 dans J. McGuire (dir.), What works: Reducing reoffending, Chichester, England, John Wiley & Sons.
- Martinson, R. 1974. « What works?—questions and answers about prison reform », The Public Interest, vol. 35, p. 22-54.
- Miller, W. R., C. E. Yahne, T. B. Moyers, J. Martinez et M. Pirritano. 2004. « A randomized trial of methods to help clinicians learn motivational interviewing », Journal of consulting and Clinical Psychology, vol. 72, p. 1050-1062.
- Ogloff, J. R. P., et N. R. Davis. 2004. « Advances in offender assessment and rehabilitation: Contributions of the risk-needs-responsivity approach », Psychology, Crime & Law, vol. 10, p. 229-242.
Sécurité publique Canada. 2009. Aperçu statistique : le système correctionnel et la mise en liberté sous condition 2009, Travaux publics et Services gouvernementaux Canada, Ottawa, Ontario. - Skeem, J.L., J. Eno Louden, D. Polaschek et J. Camp. 2007. « Assessing relationship quality in mandated community treatment: Blending care with control », Psychological Assessment, vol. 19, p. 397-410.
- Trotter, C. 1996. « The impact of different supervision practices in community corrections », Australian and New Zealand Journal of Criminology, vol. 29, p. 1-18.
- Trotter, C. 2006. Working with involuntary clients, 2e édition, Crows Nest, New South Wales, Allen & Unwin.
- Wampold, B. E. 2007. « Psychotherapy: The humanistic (and effective) treatment », American Psychologist, vol. 62, p. 857-873.
- Date de modification :
