La prédiction de la récidive chez les membres de gangs de rue
Table des matières
- Remerciements
- Sommaire
- Tables des matières
- Liste des tableaux
- Liste des figures
- Introduction
- Définir et décrire les gangs de rue
- Méthode
- Participants
- Procédure d'appariement
- Mesures
- Résultats
- Interprétation des résultats
- Bibliographie
- Annexes
- Notes
Liste des tableaux
- Tableau 1. Nombre de délinquants et d'infractions par catégorie et sous-catégorie
- Tableau 2. Peine et gravité de l'infraction
- Tableau 3. Nouvelles arrestations par catégorie d'infractions
- Tableau 4. Nouvelles condamnations par catégories d'infractions
- Tableau 5. Répartition des délinquants selon les catégories de risque du LS/CMI
- Tableau 6. Comparaison des membres de gangs et des non-membres aux sous-échelles de la section 1, 2, 4 et 5
- Tableau 7. Valeur des coefficients d'aire sous la courbe ROC pour les sous-échelles du LS/CMI et le total par rapport aux nouvelles arrestations
- Tableau 8. Valeur des coefficients d'aire sous la courbe ROC pour les sous-échelles du LS/CMI et le total par rapport aux nouvelles condamnations
- Tableau 9. Modèle des risques proportionnels de Cox – appartenance aux gangs et risque de nouvelle arrestation (n = 172)
- Tableau 10. Modèle des risques proportionnels de Cox – appartenance aux gangs et risque de nouvelle condamnation (n = 172)
Liste des figures
2012-02
Jean-Pierre Guay, Ph.D.
École de criminologie, Université de Montréal et Institut Philippe-Pinel de Montréal
Sécurité Publique Canada
Remerciements
L'auteur souhaite remercier Mme Élaine Raza, M. Jean-François Couture-Poulin et Mme Stéphanie Vachon du ministère de la Sécurité publique du Québec de leur précieuse contribution à la réalisation du présent rapport. Merci à Mme Marie-Claude Fortin du ministère de la Justice et à M. Paul Fugère de la Sûreté du Québec de leur collaboration concernant l'accès aux données et la préparation des données. L'auteur tient aussi à remercier M. Ismaïl Khriss du Département de mathématiques, informatique et génie de l'Université du Québec à Rimouski et M. Gino Chénard du Département d'informatique de l'Université du Québec à Montréal de leur expertise, laquelle a été fort utile dans la programmation des algorithmes de traitement des fichiers SED. Merci également à M. Carlo Morselli et à Mme Chantal Fredette, dont les observations ont contribué à améliorer le document. Finalement, il tient à remercier Mme Marlene Blanshay pour l'édition du texte.
Les affirmations et interprétations de ce rapport n'engagent que l'auteur et ne reflètent pas nécessairement la position officielle du ministère de la Sécurité publique du Québec ni celle du ministère de la Sécurité Publique du Canada. Pour toute question, veuillez contacter l'auteur : Jean-Pierre Guay, professeur agrégé, École de criminologie, Université de Montréal, C.P. 6128, succursale Centre-ville, Montréal (Québec), H3C 3J7, Canada, Jean-Pierre.Guay@umontreal.ca.
Sommaire
Au Québec, les gangs de rue figurent désormais parmi les nouvelles menaces pour la sécurité (MSPQ, 2007; SPVM, 2005). D'importantes opérations policières visant à démanteler des réseaux de prostitution juvénile ou à mettre un frein au trafic de stupéfiants ont amené une multitude de jeunes délinquants dans le système de justice pour adultes. De plus en plus de membres de gangs sont pris en charge par le système pénal, et l'évaluation du risque peut, dans une certaine mesure, poser problème. L'objectif de la présente recherche consiste à étudier l'applicabilité de l'inventaire du niveau de service et de la gestion des cas (Level of Service/Case Management Inventory – LS/CMI) (Andrews, Bonta et Wormith, 2004) aux membres de gangs de rue et à définir des profils de besoins criminogènes qui leur sont propres, en comparaison avec les profils des délinquants non membres de gangs.
Un échantillon de 172 délinquants purgeant une peine de ressort provincial de plus de six mois a été utilisé dans le cadre de la présente recherche. Quatre-vingt-six délinquants désignés par le ministère de la Sécurité publique du Québec ont été appariés en fonction de leur âge, de leur statut et de leur ville de résidence avec 86 délinquants non désignés comme des membres de gangs. Tous avaient été évalués à l'aide du LS/CMI. Les données concernant les nouvelles arrestations et les nouvelles condamnations ont par la suite servi à tester la validité prédictive du LS/CMI.
Les résultats révèlent que les membres de gangs présentent des antécédents criminels plus variés et un plus grand taux de condamnations pour des infractions violentes. L'analyse des données du LS/CMI indiquent que les membres de gangs présentent des risques et des besoins criminogènes plus importants que les délinquants du groupe témoin, et dans plus de domaines. Ces besoins plus grands se traduisent par des taux de réarrestations plus élevés et par un nombre supérieur de condamnations pour des crimes violents. Le LS/CMI s'est aussi montré utile pour prédire la récidive chez les délinquants membres de gangs. Des analyses multivariées réalisées à l'aide du modèle des risques proportionnels de Cox donnent à penser qu'à risque égal, les délinquants membres de gangs de rue sont arrêtés plus souvent pour des crimes en général et pour des crimes violents. Il en va de même pour les nouvelles condamnations pour des crimes violents : à âge égal et à risque égal, les membres de gangs risquent davantage de faire l'objet d'une nouvelle condamnation que les non-membres. Les implications de tels résultats sont discutées.
Introduction
Les groupes criminels comme les gangs de rue occupent une grande place dans le paysage médiatique. Dans une grande agglomération urbaine comme Montréal ou Toronto, rares sont les semaines où les gangs de rue ne défraient pas la manchette. Par exemple, Beare et Ronderos (2001) évaluent à 27 893 le nombre d'articles de revues et de journaux portant sur le crime organisé publiés sur une période de six ans au Canada, c'est-à-dire près de 90 articles par semaine dans les quotidiens et les magazines choisis.
Cette visibilité et la nature des crimes couverts par les médias contribuent, en partie du moins, à l'insécurité des citoyens. Selon un sondage réalisé par la firme de sondage Léger Marketing (2004), 64 % des répondants de Montréal croient que les gangs de rue constituent un grave problème dans leur ville, et 29 % estiment que les gangs représentent une source d'insécurité majeure. D'après un autre sondage réalisé par le Service de police de la Ville de Montréal (SPVM) en 2004 auprès de la population de certains quartiers chauds, 36 % des citoyens interrogés jugent que les gangs de rue sont un problème dans leur quartier, 49 % disent être inquiets de marcher seuls le soir et seulement 21 % considèrent leur quartier comme sécuritaire.
À cet égard, les travaux de McCorkle et Miethe (2001) indiquent que les médias accordent leur traitement le plus sensationnaliste aux nouvelles qui concernent les gangs criminels. L'accent est ainsi mis sur la violence de ces groupes, ce qui contribue à véhiculer une image étroite et simpliste du phénomène. Les gangs sont présentés par les médias et, en conséquence, perçus par la population comme des groupes organisés et structurés (Takata et Zevitz, 1990), dont les membres sont très violents (Dusonchet, 2002).
Le sentiment de danger, exacerbé par la couverture médiatique de l'activité des gangs de rue, incite la population à exercer une pression importante sur les organisations responsables de la répression, comme les organisations policières. Les crimes commis, jumelés aux revendications des citoyens, forcent les organisations policières à se mobiliser et à s'organiser. C'est d'ailleurs ce qu'elles ont fait au Québec ces dernières années. En effet, les corps policiers ont mis en œuvre des programmes et des initiatives visant à contrer le problème des gangs de rue et de la violence qui leur est associée, par exemple la création d'unités antigang. Ces mesures répressives ont signifié à la communauté que les autorités policières prennent le problème des gangs au sérieux (Katz et Webb, 2006).
Les initiatives antigang ont eu pour effet d'accroître le fardeau des tribunaux en augmentant le flux de personnes accusées. Les procureurs aux poursuites criminelles et le système judiciaire ont donc affecté des équipes aux gangs de rue. Ces équipes étudient les cas qui pourraient être associés aux gangs, élaborent des méthodes et des stratégies permettant de traiter ces cas, colligent des informations pertinentes et engagent des poursuites criminelles.
Le volume accru de poursuites a généré un flux constant de délinquants soupçonnés d'être membres de gangs de rue devant les tribunaux et dans le système judiciaire. Cette situation constitue depuis toujours une source de préoccupation pour les centres jeunesse du Québec, mais elle devient aussi un problème pour les services correctionnels pour adultes. Un nombre accru de contrevenants sont admis dans le système correctionnel pour adultes, tant de compétence provinciale que fédérale (Bentenuto, 2008; MSPQ, 2007). Dans de nombreux cas, leur présence crée des difficultés ayant trait à l'évaluation des risques, au risque de sécurité ou à la mise en œuvre de programmes d'intervention.
Définir et décrire les gangs de rue
Décrire et définir un phénomène comme celui des gangs de rue est un exercice complexe; les définitions et les descriptions portent tantôt sur des délinquants juvéniles, tantôt sur des délinquants plus âgés atteignant parfois la quarantaine. Les études sur les processus d'affiliation et de désaffiliation, sur l'expérience des délinquants et sur leurs caractéristiques personnelles sont pour une bonne part issues de recherches menées auprès des adolescents. Les travaux visant à recenser les gangs criminels portent souvent sur les délinquants plus âgés, ce qui rend difficile la combinaison des résultats généraux provenant des deux corpus de données. Les chercheurs s'entendent pour dire que l'absence d'une définition commune pose aussi problème (Bjerregaard, 2002; Campbell, 1984; Decker et VanWinkle, 1996; Esbensen, Winfree, He et Taylor, 2001; Horowitz, 1990; Klein, 1995; Klein et Maxson, 2006; Moore, 1991; Petersen, 2000; Spergel, 1995). Depuis les premières définitions, notamment celle de Thrasher (1927), plusieurs dizaines ont été proposées, puis discutées et critiquées. Vu la difficulté d'arriver à une définition consensuelle du gang et, par extension, de ses membres et de leurs activités, différentes stratégies ont été proposées. Le recours à l'autodéclaration est une façon de résoudre le problème (Bjerregaard et Smith, 1993; Horowitz, 1983; Taylor, 1990; Thornberry, Krohn, Lizotte et Chard-Wierschem, 1993).
Comme il est difficile de savoir ce qu'est un gang et quels sont ses membres, les délinquants pourraient peut-être dire eux-mêmes s'ils font partie d'un gang ou non (Fagan, 1989). Bien que la stratégie de l'autodéclaration soit fréquemment utilisée, elle comporte des limites, dont la très grande diversité des points de vue sur l'appartenance (Klein et Maxson, 2006; Spergel et Curry, 1988). Par ailleurs, le recours à l'autodéclaration ne nous renseigne pas sur le degré de participation ni sur la nature des activités de ces groupes criminels (Schram et Gaines, 2005).
Une seconde façon de s'entendre sur une définition des gangs de rue consiste à s'en remettre aux praticiens et aux experts. Ainsi, Miller (1980) a mené un sondage national auprès d'intervenants du système de la justice, de juges et de membres de la communauté afin de connaître comment ils définiraient et caractériseraient les gangs de rue. Après avoir compilé plus de
1 400 caractéristiques, Miller a retenu les six qui faisaient l'unanimité chez les interviewés, et il est arrivé à la définition suivante :
[TRADUCTION]
Association de jeunes autoproclamée dont les membres sont liés par des intérêts communs, ayant un leadership identifiable, une structure d'autorité et des caractéristiques organisationnelles, qui poursuivent en commun des fins particulières, lesquelles incluent généralement des activités illégales et le contrôle d'un certain territoire, d'une infrastructure ou d'une entreprise. (Miller, 1975, p. 121)
La définition consensuelle a toutefois été très controversée. Pour certains, le fait que la plupart s'entendent sur la définition d'un phénomène ne signifie pas que la définition est valide et fidèle (Klein et Maxson, 1989). Bien qu'elles soient nombreuses, les définitions des gangs de rue comportent généralement un nombre élevé de points communs (Curry et Decker, 2003). Ce sont souvent des groupes autoproclamés, dont les membres partagent des intérêts communs tels que le contrôle d'un territoire ou d'un endroit particulier. Ils utilisent habituellement un certain nombre de signes de reconnaissance et sont impliqués collectivement dans des activités criminelles. Déjà, en 1980, Miller supprimait un certain nombre de caractéristiques communes et les remplaçait par des éléments relatifs à la structure et à l'autorité, notamment un leadership distinctif. Plus récemment, Klein (2005) évoquait la possibilité d'obtenir un certain consensus chez les chercheurs avec la définition suivante : [TRADUCTION] « Un gang de rue est un groupe de jeunes durable, centré sur des activités de rue et dont l'identité repose notamment sur la participation à des activités criminelles. » L'auteur met donc l'accent sur cinq caractéristiques fondamentales : les gangs sont relativement durables, ils sont surtout composés de jeunes qui passent une partie de leur temps dans la rue, qui sont impliqués dans des actes illégaux et unis par une certaine identité collective.
Au Québec, la définition la plus couramment utilisée est celle du Service de police de la Ville de MontréalNote de bas de page 1 (SPVM) :
Le gang de rue est un regroupement plus ou moins structuré d'adolescents et de jeunes adultes qui privilégient la force et l'intimidation du groupe pour accomplir des actes criminels et ce, dans le but d'obtenir pouvoir et reconnaissance ou de contrôler des sphères d'activités lucratives.
À l'heure actuelle, la définition du gang de rue proposée par le SPVM a été retenue par le Service de renseignement criminel du Québec et adoptée par différents corps policiers de la province. Elle sert à l'identification des délinquants dans le système judiciaire du Québec.
Décrire les délinquants associés aux activités des gangs de rue
Les gangs de rue sont généralement composés d'adolescents et de jeunes hommes. Bien que différents facteurs soient liés à l'adhésion aux gangs de rue, ils peuvent être regroupés en deux grandes catégories: les caractéristiques sociales et les caractéristiques personnelles.
Caractéristiques sociales : communauté, famille, école et emploi
L'interprétation proposée par Thrasher (1927), il y a près d'un siècle, colore toujours la compréhension des praticiens et des chercheurs du domaine des gangs de rue. La question de la désorganisation sociale et de son impact sur le développement de ces groupes, qui avait été soulevée à l'époque par l'auteur, figure toujours parmi les thèmes les plus fréquemment évoqués pour expliquer l'apparition et l'expansion des gangs de rue en Amérique du Nord. Aujourd'hui encore, peu de gens réfléchissent au problème des gangs de rue sans se préoccuper des conditions socioéconomiques, des inégalités sociales, de l'exclusion, de la marginalisation et de l'affaiblissement des contrôles sociaux. Les environnements marqués par une faible mobilisation communautaire, l'immigration et la pauvreté sont effectivement des terreaux fertiles pour l'apparition des gangs de rue (Bjerregaard et Lizotte, 1995; Curry et Spergel, 1992; Spergel, 1995; Thornberry, Krohn, Lizotte, Smith et Tobin, 2003).
Depuis leur apparition en Amérique du Nord, les gangs de rue sont essentiellement un phénomène urbain. Or, ce phénomène s'étend désormais à l'extérieur des grands centres urbains et touche les banlieues (Miller, 2001). En 1999, la présence de gangs de rue était déjà signalée dans toutes les villes américaines de plus de 250 000 habitants et dans près de la moitié des banlieues de grands centres urbains (Egley, 2000). Cette évolution s'explique par le déménagement des familles (Maxson, 1998), de faibles perspectives d'emploi, la possibilité pour les gangs d'agrandir leur réseau d'activités criminelles, dont le commerce de drogues (Howell, 1994), ou leurs efforts pour éviter la détection policière.
Même s'il y a lieu de croire que les environnements caractérisés par une désorganisation sociale puissent favoriser l'émergence des gangs de rue, les raisons pour lesquelles certains jeunes adhèrent à ces groupes et d'autres non restent inconnues (Bjerregaard et Smith, 1993; Fagan, 1990). La présence de tels groupes criminels dans les quartiers défavorisés ne signifie pas que tous auront automatiquement le désir d'en faire partie.
De manière générale, les délinquants associés aux gangs de rue viennent de milieux familiaux instables, brisés ou désunis (Hamel et coll., 1998; Hill, Howell, Hawkins et Battin-Pearson, 1999; Lahey, Gordon, Loeber, Stouthamer-Loeber et Farrington, 1999; Thornberry et coll., 2003). Les membres de gangs décrivent souvent leurs relations familiales comme étant peu affectueuses, dénuées d'encadrement ou de contrôle parental (Gatti, Tremblay, Vitaro et McDuff, 2005; Hamel et coll., 1998; Hill et coll., 1999; Le Blanc et Lanctôt, 1998; Vigil, 1988). En conséquence, le gang constituerait dans bien des cas une stratégie d'adaptation visant à pallier les manques ressentis au sein de la famille (Brisebois, 2007).
Les difficultés familiales vécues par les membres de gangs s'accompagnent généralement de difficultés scolaires et de troubles d'apprentissage (Craig, Vitaro, Gagnon et Tremblay, 2002; Esbensen, Huizinga et Weiher, 1993; Hamel et coll., 1998; Le Blanc et Lanctôt, 1998; Thornberry et coll., 2003). Souvent, ces délinquants présentaient des retards dans leur cheminement scolaire bien avant d'intégrer un gang (Hill et coll., 1999), retards qui leur occasionneront plus tard d'importants problèmes d'intégration au marché du travail (Hagedorn, 1988; Hamel et coll., 1998; Sanchez-Jankowski, 1991).
Le fait de provenir d'un milieu socioéconomique défavorisé, le fait d'avoir vécu dans un cadre familial dysfonctionnel et celui d'éprouver des difficultés scolaires et des problèmes d'intégration au marché de l'emploi figurent dans la plupart des théories cherchant à expliquer les problèmes psychosociaux. Si les caractéristiques sociales stimulent le désir de s'associer aux gangs, elles n'en sont pas les seules causes. À cet égard, un certain nombre de caractéristiques personnelles agissent aussi à titre de facteurs de risque.
Caractéristiques personnelles : besoins, personnalité et attitudes
Les délinquants qui deviennent membres des gangs de rue sont plus que des adolescents désabusés en manque de ressources. Ils sont souvent décrits comme des délinquants qui trouvent dans les gangs un environnement compatible avec leur style de vie et la structure de leur personnalité. On leur reconnaît fréquemment des personnalités antisociales (Lykken, 1995) et psychopathiques (Cleckley, 1976; Hare, 1993). Ces délinquants présentent généralement des comportements manipulateurs, agressifs, impulsifs et colériques, ainsi que des affects superficiels, un sentiment de toute-puissance et d'importantes difficultés à gérer leurs conflits interpersonnels (Craig et coll., 2002; Dupéré, Lacourse, Willms, Vitaro et Tremblay, 2007; Goldstein, 1991; Guay et Couture-Poulin, 2010; Lacourse, Nagin, Vitaro, Côté, Arsenault et Tremblay, 2006; Lanctôt et Le Blanc, 1996). Il n'est pas étonnant de constater que les délinquants associés aux gangs de rue présentent fréquemment des signes précoces de troubles de comportement, d'attitudes antisociales et de comportements violents (Craig et coll., 2002; Esbensen et Huizinga, 1993; Hill et coll., 1999; Lahey et coll., 1999; Thornberry et coll., 2003).
En plus d'expliquer l'adhésion aux gangs, les composantes antisociales favorisent aussi l'engagement à long terme. Si l'adhésion aux gangs n'est que transitoire pour la majorité des jeunes (Covey et coll., 1992; Spergel, 1995; Thrasher, 1927), pour un petit nombre, elle deviendra un mode de vie. Ces caractéristiques contribuent à favoriser l'apparition de comportements délinquants et pourraient également expliquer pourquoi certains individus s'acclimatent davantage à la réalité violente associée à la sous-culture des gangs (Guay et Fredette, 2010; Guay et Couture-Poulin, 2010; Valdez, Kaplan et Codina, 2000).
Relations entre l'appartenance aux gangs et la délinquance
À la lumière du profil personnel et social des membres de gangs de rue, il est difficile de s'étonner de leur production criminelle. Ces délinquants sont donc aux prises avec un nombre important de facteurs de risque et de besoins criminogènes. Comme pour tous les récidivistes, leurs infractions sont importantes et variées (Battin et coll., 1998; Curry, 2000; Decker et Van Winkle, 1996; Esbensen et Huizinga, 1993; Fagan, 1990; Huff, 1996; Klein, 1995; Miller, 1975; Spergel, 1995; Thornberry, 1998; Thornberry et coll., 1993). Bien que certains tiennent pour acquis que l'appartenance aux gangs de rue fait croître le taux de criminalité des individus, tous ne s'entendent pas sur la séquence temporelle des évènements (Krohn et Thornberry, 2008). Trois modèles peuvent nous aider à comprendre l'influence de ces groupes sur la délinquance de leurs membres : le modèle de sélection, le modèle de facilitation et le modèle mixte (Thornberry et coll., 1993).
Selon le premier modèle, celui de la sélection, les individus qui risquent le plus d'adhérer aux gangs de rue présentent, a priori, une plus grande propension à la délinquance. En ce sens, l'appartenance aux gangs ne générerait pas en soi les comportements criminels, parce que ces groupes attirent des personnes déjà engagées dans des activités criminelles. Cette propension à la délinquance serait présente non seulement pendant la période où les délinquants sont membres des gangs de rue, mais aussi avant et après cette période.
Le deuxième modèle, celui de la facilitation, repose sur les principes de l'apprentissage social (Akers, 1985). D'après ce modèle, les membres de gangs, a priori, ne présentent pas une plus grande propension à la délinquance que les autres délinquants. Ce serait la culture (structure normative) des gangs et la dynamique de groupe qui faciliteraient la criminalité. En d'autres termes, la fréquence des comportements criminels serait faible avant l'affiliation à un gang, augmenterait considérablement pendant la période de l'affiliation et reviendrait à un taux faible après la désaffiliation.
Enfin, selon le modèle mixte, la relation entre la délinquance des individus et l'appartenance aux gangs est basée à la fois sur l'effet de sélection et sur celui de la facilitation, les deux agissant de manière interactive. Ainsi, les jeunes qui deviennent membres de gangs présenteraient une plus grande propension à la délinquance (sélection) que les autres et leur affiliation à ces groupes accélérerait considérablement cette tendance (facilitation). Autrement dit, les membres de gangs seraient d'abord et avant tout des délinquants actifs qui commettent des actes criminels à un rythme accéléré après leur admission dans un gang.
Si le modèle de la sélection reçoit peu d'appuis empiriques (Krohn et Thornberry, 2008), de nombreux travaux soutiennent le modèle de la facilitation (Bjerregaard et Lizotte, 1995; Gatti et coll., 2005; Hall, Thornberry et Lizotte, 2006; Haviland et Nagin, 2005; Lacourse, Nagin, Tremblay, Vitaro et Claes, 2003; Thornberry et coll., 2003; Zhang, Welf et Wieczoreck, 1999), et quelques-uns soutiennent le modèle mixte (Bendixen, Endresen et Olweus, 2006; Esbensen et Huizinga, 1993; Gordon, Lahey, Kawai, Loeber, Stouthamer-Loeber et Farrington, 2004). Cela dit, les travaux mettant à l'épreuve les trois modèles révèlent des variations dans les résultats qui seraient fonction, entre autres, de la durée de l'affiliation et de l'âge des participants (Gatti et coll., 2005; Gordon et coll., 2004; Lacourse et coll., 2003). Par exemple, le modèle de la facilitation expliquerait la délinquance des membres transitoires (ceux dont l'affiliation dure moins de deux ans), alors que le modèle mixte s'appliquerait davantage aux membres stables (ceux dont l'affiliation dure plus de deux ans).
Les conclusions de ces travaux doivent toutefois être utilisées avec prudence, car la majorité des études longitudinales sur la question portent sur des cohortes de jeunes âgés de 14 à 17 ans. Il est difficile d'identifier lesquels persisteront réellement dans ce milieu, étant donné que les membres de longue date des gangs de rue sont sans doute âgés de plus de 18 ans. Qui plus est, les délinquants faisant partie d'organisations criminelles abandonneraient davantage les recherches visant à étudier leur comportement que les autres délinquants (Thornberry, Bjerregaard et Miles, 1993). Ce problème d'attrition nous force à nous questionner sur la sous-représentation des membres de gangs stables dans les échantillons visant à valider les différents modèles.
Par ailleurs, il est difficile de distinguer les effets de l'âge d'avec ceux de l'appartenance aux gangs de rue (Krohn et Thornberry, 2008), dans la mesure où les taux de délinquance, la durée de l'affiliation et l'âge covarient de manière très étroite (Elliot et Menard, 1996; Gatti et coll., 2005; Gordon et coll., 2004; Lacourse et coll., 2003; Warr, 1993). Il est donc raisonnable de croire que les effets de sélection et de facilitation ne peuvent expliquer à eux seuls l'influence de l'appartenance aux gangs sur la délinquance (Gatti et coll., 2005; Gordon et coll., 2004).
Risque de récidive
L'appartenance à un gang est un important marqueur (indicateur) du risque de récidive. En effet, certains travaux montrent que les contrevenants associés aux gangs de rue risquent beaucoup plus de récidiver après leur libération que les délinquants en libération conditionnelle qui ne sont pas membres d'un gang (Huebner, Varano et Timithy, 2007). À titre indicatif, selon l'étude réalisée par Huebner et ses collaborateurs (2007), 45 % des membres de gang récidivent, en moyenne après 33 mois dans la communauté, comparativement à 28 % des autres délinquants qui récidivent en moyenne après 37 mois de liberté. Par conséquent, il apparaît important de bien identifier et évaluer les contrevenants associés aux gangs de rue afin de prévenir la récidive.
Risque de sécurité
L'appartenance à un gang est également un important prédicteur de divers comportements violents envers les autres détenus et le personnel présent dans les établissements de détention, indépendamment des autres facteurs de risque (âge, ethnicité, antécédents violents et carcéraux, durée de la sentence et niveau de sécurité) ou des caractéristiques personnelles (Griffin et Hepburn, 2006; Gaes et coll., 2002). Les détenus associés aux gangs de rue sont plus de deux fois nombreux à manifester des comportements violents que leurs homologues non membres de gangs (Griffin et Hepburn, 2006). Camp et Camp (1985) ont analysé les incidents disciplinaires violents survenus dans 33 prisons américaines : ils ont estimé que les contrevenants associés aux gangs de rue constituaient 3 % de la population carcérale mais étaient responsables de plus de 50 % des incidents violents dans les établissements carcéraux. Les membres de gangs sont également plus impliqués que les autres détenus dans toutes les formes d'inconduites, d'infractions à une règle interne et de perpétration de crimes (Gaes et coll., 2002). Les contrevenants associés aux gangs de rue sont responsables d'un plus grand nombre d'incidents disciplinaires, et font aussi l'objet de plus de comparutions et de transferts (Guay et Couture-Poulin, 2010). Comme le soulignent Guay et Couture-Poulin (2010), cette situation ne constitue peut-être pas une conséquence de leur comportement dans le milieu carcéral, mais elle donne tout de même une idée de l'énergie déployée dans la prise en charge de cette clientèle.
En somme, les études réalisées sur les criminels condamnés indiquent que l'appartenance aux gangs est statistiquement liée à la récidive et aux comportements criminels pendant l'incarcération. Pour Fleisher et Decker (2001), l'appartenance à un gang représente indirectement l'histoire sociale d'une personne. Les études actuelles sur la question du lien entre l'appartenance aux gangs et la récidive s'intéressent effectivement à l'histoire sociale des délinquants membres de gangs. La question est surtout étudiée sous l'angle de la contribution de l'appartenance par rapport à celle de différents facteurs statiques, comme la race, les antécédents criminels, le quartier ou les antécédents familiaux. Une telle approche ne permet toutefois pas de savoir si les délinquants associés aux gangs sont aux prises avec des besoins criminogènes plus importants que les délinquants du même âge ou issus de milieux semblables. En d'autres termes, aucune étude n'a permis de connaître la valeur ajoutée de l'appartenance aux gangs par rapport aux autres facteurs criminogènes lorsqu'il est question d'évaluer les délinquants, ni n'a étudié la validité des stratégies habituelles d'évaluation du risque chez ces délinquants.
La présente étude a pour objectif général de définir des profils de besoins criminogènes propres aux membres de gangs en comparaison avec ceux des délinquants non membres de gangs, ce qui permettrait de mieux cibler les interventions appropriées. L'étude a aussi pour objectif d'évaluer l'utilisation de l'inventaire du niveau de service et de la gestion des cas (Level of Service / Case management Inventory – LS/CMI; Andrews, Bonta et Wormith, 2004) dans la prédiction de la récidive. Le LS/CMI est l'outil normalisé qui sert à la classification des détenus sous responsabilité provinciale, et ses sous-échelles permettent de mesurer les besoins criminogènes. Enfin, nous examinerons la validité prédictive ajoutée de l'indication de l'appartenance à un gang dans l'évaluation du risque de récidive.
Méthode
Participants
Les participants de cette étude sont 172 délinquants de sexe masculin évalués aux Services correctionnels du Québec à l'aide du LS/CMI entre février 2007 et décembre 2008. Les établissements de détention provinciaux sont réservés aux délinquants ayant écopé d'une sentence de moins de deux ans. Des 172 délinquants, 34, soit 19,8 % ont été évalués alors qu'ils purgeaient une peine dans la collectivité, et 138 (80,2 %) l'ont été alors qu'ils purgeaient une peine d'emprisonnement. L'âge moyen des sujets était de 25,6 ans (é.-t. = 6,0). La moitié des délinquants de l'échantillon avaient été désignés comme des membres de gangs de rue par le ministère de la Sécurité publique du Québec (MSPQ). La procédure d'identification du MSPQ comprend une validation auprès des autorités policières. Il faut toutefois préciser que seuls les délinquants qui avaient écopé d'une peine de plus de six mois ont été évalués à l'aide du LS/CMI, ce qui peut avoir pour effet de réduire considérablement la diversité des résultats et de surreprésenter les délinquants à haut et à très haut risque.
Procédure d'appariement
Noua avons utilisé trois critères pour apparier les délinquants membres de gangs à des délinquants comparables : l'âge au moment de l'évaluation, le statut (détenu ou en communauté) et la ville de résidence. Pour chaque délinquant désigné comme membre d'un gang par le MSPQ, nous avons été en mesure d'apparier un délinquant aux mêmes caractéristiques qui avait été évalué durant la même période. Dans deux cas, nous n'avons pas été en mesure de trouver un délinquant du même âge et du même statut qui habitait dans la même ville; la ville voisine a alors été sélectionnée.
Mesures
Les résultats décrits dans la présente étude proviennent principalement de cinq sources de données, soit le système DACOR (lequel s'alimente en partie dans le plumitif des infractions criminelles), le greffe pénal, le Module d'informations policières (MIP), le Système d'empreintes digitales (SED) et l'outil d'évaluation du risque du LS/CMI.
Système DACOR
Le système DACOR, ou dossier administratif correctionnel, est le système informatique exploité depuis 1987 qui permet aux intervenants des services correctionnels du Québec de gérer les activités et les interventions liées à l'hébergement des délinquants. Le système recueille des informations sur les personnes incarcérées et les établissements de détention, notamment en ce qui concerne l'assignation des cellules, le suivi des sorties de jour, l'administration de la sentence et le décompte de la population carcérale. Le DACOR recueille aussi des informations des agents de probation et de la communauté, entre autres sur les rencontres des clients avec leurs agents de probation et sur le suivi des interventions. Plusieurs personnes peuvent consigner de l'information dans le système DACOR, mais dans la majorité des cas, ce sont les agents de services correctionnels qui alimentent le système. Si certaines variables, comme le sexe des délinquants, ne posent pas de problème de fiabilité interévaluateurs, d'autres sont parfois plus difficiles à codifier sans protocoles précis. À cet égard, seules certaines variables de nature descriptive ont été retenues.
Inventaire de niveau de service et de la gestion des cas (LS/CMI)
La version française (Guay, 2008) de l'inventaire de niveau de service et de la gestion des cas (Andrews et coll., 2004) est un instrument intégré d'évaluation du risque et des besoins couplé d'un outil de suivi de la clientèle. Cet outil permet une gestion efficace de l'évaluation, de la planification et du suivi de l'intervention auprès de clients adultes ou adolescents âgés de 16 ans ou plus. Le LS/CMI évalue des facteurs statiques et dynamiques liés au risque de récidive. Il comporte 43 items, divisés en huit grandes catégories de besoins criminogènes : les antécédents criminels (huit items), l'éducation et l'emploi (neuf items), la famille et le couple (quatre items), les loisirs et les activités récréatives (deux items), les fréquentations (quatre items), les problèmes d'alcool et de drogues (huit items), les attitudes et les orientations procriminelles (quatre items) et le type de comportement antisocial (quatre items). La majorité des items du LS/CMI sont cotés « Oui » ou « Non » (0 = « Non », 1 = « Oui »), tandis que certains items sont cotés sur une échelle de 0 à 3 (0 et 1 = 1, 2 et 3 = 0). Le total renseigne sur le niveau de risque que pose le délinquant et les sous-totaux indiquent ses besoins criminogènes. Tous les évaluateurs étaient des professionnels ayant suivi une formation de quatre jours sur le LS/CMI et tous avaient réussi l'examen théorique et pratique prescrit par l'éditeur de l'instrument. Le LS/CMI est coté à la suite d'un entretien clinique et d'une lecture attentive du dossier.
Traduction du LS/CMI
Afin d'obtenir une version française du LS/CMI, nous avons eu recours à une stratégie de rétro-traduction. Dans un premier temps, une équipe de traducteurs a traduit le formulaire Quikscore et le guide de cotation. Dans un second temps, la version française a été traduite en anglais par une autre équipe. Les deux versions anglaises (l'originale et la version retraduite) ont alors été comparées par une équipe formée de praticiens, de gestionnaires et des auteurs de l'instrument. Les éléments ambigus et les items problématiques ont par la suite été discutés et corrigés. La version préliminaire a été corrigée par un comité de révision composé de chercheurs, de gestionnaires et de praticiens des Services correctionnels du Québec avant d'être révisée par un éditeur scientifique.
Données d'arrestation du Module d'informations policières (MIP)
Le Module d'informations policières (MIP) contient une version informatisée succincte de toutes
les infractions et interventions policières au Québec. Ces rapports sont regroupés dans un fichier central et codifiés selon les règles de la Déclaration uniforme de la criminalité. Cette banque de données applique les normes élaborées par le Centre canadien de la statistique juridique, qui favorise l'uniformité dans la collecte des données dans les différents services de police canadiens. Nous avons utilisé cette banque afin de relever toutes les infractions commises par les délinquants sur l'ensemble du territoire québécois, entre février 2007 et novembre 2009. Pour chaque événement, diverses informations ont été extraites, dont les détails de l'infraction, les personnes impliquées et les remarques (liées aux dossiers). Les délinquants ont été couplés à l'aide du numéro SED, du nom et de la date de naissance. Dans le cadre du présent rapport, seules les informations relatives au délit seront présentées.
Données d'antécédents criminels officiels adultes du Système d'empreintes digitales (SED)
Nous avons acheminé les noms, dates de naissance et numéros SED des délinquants aux Services d'information sur les casiers judiciaires canadiens de la Gendarmerie royale du Canada (GRC) afin d'obtenir leur fiche criminelle officielle. Pour chacun des individus, le formulaire « Condamnations au criminel – Libérations conditionnelles et inconditionnelles et renseignements connexes » (aussi appelé « fiche dactyloscopique », « casier judiciaire » ou « registre du CIPC ») a été extrait et envoyé à la Direction de la recherche des Services correctionnels du Québec du ministère de la Sécurité publique, puis acheminé au chercheur. La fiche criminelle, ou SED, a été obtenue pour 137 des 172 délinquants, c'est-à-dire que 79,7 % d'entre eux avaient un casier judiciaire. Le fichier de 9815 pages en format texte (.txt) a été formaté à l'aide d'un algorithme spécialement développé à cette finNote de bas de page 2. Les fichiers furent réorganisés en quatre tables liées par un identifiant unique, parmi lesquelles deux sont d'un plus grand intérêt dans le cadre du présent exercice, soit une table des informations personnelles et une table des infractions et des sentences. Chacune des infractions fut ensuite codée selon les catégories d'infractions proposées par le nouvel Indice de gravité de la criminalité (IGC) de Statistique Canada (2009) décrit plus bas.
Données de récidive officielle du Greffe pénal
Les données sur les nouvelles condamnations des délinquants ont été extraites de celles du Greffe pénal du ministère de la Justice. Chacune des nouvelles condamnations a été classée en fonction des informations pertinentes.
Résultats
Analyse des antécédents criminels
Le tableau 1 ci-dessous présente le taux d'antécédents criminels pour les deux groupes de délinquants et le coefficient Phi, un coefficient de taille d'effet dérivé du chi carré.
| Non-membres | Membres de gangs |
Phi | |
|---|---|---|---|
| Infractions contre la personne | 53,5 | 72,1 | 0,19* |
| Infraction entraînant la mort | 2,3 | 1,2 | -0,04 |
| Agression sexuelle | 7,0 | 11,6 | 0,08 |
| Voies de fait | 43,0 | 68,6 | 0,26** |
| Infraction entraînant une perte de liberté | 39,5 | 60,5 | 0,21** |
| Infractions contre la propriété | 62,8 | 68,6 | 0,06 |
| Incendie | 1,2 | 2,3 | 0,04 |
| Introduction par effraction | 27,9 | 39,5 | 0,12 |
| Vol de plus de 5000 $ | 15,1 | 18,6 | 0,05 |
| Vol de moins de 5000 $ | 48,8 | 53,5 | 0,05 |
| Fraude | 14,0 | 15,1 | 0,02 |
| Méfait | 33,7 | 30,2 | -0,04 |
| Autres infractions au Code criminel | 66,3 | 82,6 | 0,19* |
| Prostitution | 1,2 | 8,1 | 0,17* |
| Armes offensives | 22,1 | 34,9 | 0,14 |
| Autres infractions criminelles (partie A) | 55,8 | 80,2 | 0,26** |
| Infractions contre l'ordre public (partie B) | 26,7 | 25,6 | -0,01 |
| Opération frauduleuse | 36,0 | 51,2 | 0,15* |
| Loi réglementant certaines drogues et autres substances | 36,0 | 47,7 | 0,12 |
| Possession | 16,3 | 29,1 | 0,15* |
| Trafic | 25,6 | 36,0 | 0,11 |
| Importation et exportation | 1,2 | 0,0 | -0,08 |
| Production | 0,0 | 0,0 | 0,00 |
| Infractions aux autres lois fédérales | 0,0 | 00, | 0,00 |
| Infractions criminelles liées à la circulation | 14,0 | 12,8 | -0,02 |
*p < 0,05 **p < 0,01 ***p < 0,001
L'analyse des résultats indique que, comparativement aux autres délinquants, les délinquants membres de gangs commettent plus de crimes contre la personne (phi = 0,19, p < 0,05) et, en ce qui concerne les autres infractions au Code criminel, plus d'infractions liées à la prostitution (phi = 0,17, p < 0,05). Ils ont aussi généralement plus d'infractions autres de la partie A du Code criminel (phi = 0,26, p < 0,01), d'antécédents d'opération frauduleuse (phi = 0,17, p < 0,05) et de possession de drogues (phi = 0,15, p < 0,05).
La tradition de la carrière criminelle s'inscrit dans une lecture longitudinale du comportement des délinquants. La carrière criminelle est généralement modélisée à l'aide d'un ensemble de paramètres, dont les principaux sont la participation, la fréquence, la durée, l'initiation, la continuité et le désistement (Blumstein et Cohen, 1987; Farrington, 2007; Piquero, Farrington et Blumstein, 2003). Le paramètre de fréquence permet d'estimer le nombre d'infractions commises par les délinquants actifs; généralement mesuré par le lambda (χ), il s'agit du nombre d'infractions commises durant une période donnée (habituellement une année; Blumstein et Cohen, 1987; Piquero et coll., 2003). La variété, soit la combinaison de différents types d'infractions commises par un même délinquant, représente un autre paramètre important pour la compréhension de la carrière criminelle. La gravité figure elle aussi parmi les paramètres de la carrière criminelle. Historiquement, les chercheurs ont étudié la notion de gravité à l'aide de données de sondages publics, dans lesquels les répondants devaient lire de courtes histoires d'un paragraphe décrivant des crimes et en évaluer la gravité (Ackman, Normandeau et Turner, 1967; Rossi et Anderson, 1982; Sellin et Wolfgang, 1964; Wolfgang, Figlio, Tracy et Singer, 1985). Toutefois, même si elle offrait plusieurs avantages, une telle méthode ne rendait compte que de la perception de gravité relative. Tout récemment, Statistique Canada a mis sur pied un protocole de mesure de la gravité des crimes fondé sur les décisions rendues par les tribunaux canadiens. Ce protocole permet de mesurer la gravité des infractions en fonction des sentences prononcées par les tribunaux, et non strictement en fonction d'un scénario hypothétique ou d'une étiquette. Ce protocole offre désormais une nouvelle façon d'étudier la gravité. Le tableau 2 ci-dessous présente la comparaison des membres de gangs et des non-membres quant aux paramètres de la carrière criminelle.
| Non-membres | Membres de gangs |
t | |
|---|---|---|---|
| Âge au moment de la première peine pour adulte (années) | 19,0 | 18,2 | 1,20 |
| Nombre de peines antérieures | 8,0 | 10,6 | 1,84 |
| Nombre moyen d'infractions par peine | 2,2 | 2,1 | 0,43 |
| Gravité moyenne des infractions par peine | 161,2 | 151,1 | 0,28 |
| Lambda des crimes contre la personne | 1,75 | 0,79 | 1,23 |
| Lambda des crimes contre les biens | 1,92 | 0,62 | 1,71 |
| Variété (nombre moyen de catégories d'infractions) | 5,5 | 6,7 | 2,4* |
*p < 0,05 **p < 0,01 ***p < 0,001
Dans l'ensemble, les résultats ne révèlent pas de différences significatives entre les deux groupes de délinquants en ce qui concerne l'âge de la première condamnation adulte, le nombre de peines antérieures, le nombre moyen d'infractions par peine et la gravité moyenne des infractions, pas plus qu'ils ne révèlent de différences quant au nombre annuel moyen d'infractions (lambda). Toutefois, les résultats indiquent que les délinquants membres de gangs présentent une délinquance plus polymorphe, comme en témoigne le nombre moyen de catégories d'infractions par peine significativement plus élevé (t = 2,4, p < 0,05).
Analyse des données sur les nouvelles arrestations et condamnations
La prochaine section présente les résultats descriptifs des délinquants qui ont fait l'objet d'une nouvelle arrestation et d'une nouvelle condamnation durant la période de suivi. Tous les délinquants ont été suivis pendant au moins une année, la période moyenne étant de 1024 jours. Le tableau 3 présente la comparaison des membres de gangs et des non-membres pour les nouvelles arrestations par type d'infractions.
| Non-membres | Membres de gangs | Phi | |
|---|---|---|---|
| Infractions contre la personne | 18 (20,9 %) | 38 (44,2 %) | 0,25** |
| Infractions contre la propriété | 23 (26,7 %) | 25 (29,1 %) | 0,03 |
| Autres infractions au Code criminel | 26 (30,2 %) | 49 (57,0 %) | 0,27*** |
| Loi réglementant certaines drogues et autres substances | 11 (12,8 %) | 21 (24,4 %) | 0,15* |
| Infractions aux autres lois fédérales | 0 (0,0 %) | 0 (0,0 %) | 0,00 |
| Infractions liées à la circulation | 7 (8,1 %) | 5 (5,8 %) | -0,04 |
| Toutes les infractions | 45 (52,3 %) | 69 (80,2 %) | 0,30*** |
*p < 0,05 **p < 0,01 ***p < 0,001
Comme les résultats du tableau 3 l'indiquent, les membres de gangs de rue ont fait l'objet de beaucoup plus d'arrestations que les délinquants du groupe témoin. En effet, ils se distinguent en ce qui concerne les infractions contre la personne (44,2 % c. 20,9 %; phi = 0,25, p < 0,01), les autres infractions au Code criminel (57,0 % c. 30,2 %; phi = 0,27, p < 0,001) et les arrestations en vertu de la Loi réglementant certaines drogues et autres substances (24,4 % c. 12,8 %; phi = 0,15, p < 0,001).
| Non-membres | Membres de gangs | Phi | |
|---|---|---|---|
| Infractions contre la personne | 3 (3,5 %) | 13 (15,1 %) | 0,20** |
| Infractions contre la propriété | 10 (11,6 %) | 8 (9,3 %) | -0,03 |
| Autres infractions au Code criminel | 5 (5,8 %) | 8 (9,3 %) | 0,07 |
| Loi réglementant certaines drogues et autres substances | 4 (4,7 %) | 3 (3,5 %) | -0,03 |
| Infractions aux autres lois fédérales | 2 (2,3 %) | 3 (3,5 %) | 0,04 |
| Infractions liées à la circulation | 2 (2,3 %) | 1 (1,2 %) | -0,04 |
| Toutes les infractions | 16 (18,6 %) | 18 (20,9 %) | 0,03 |
*p < 0,05 **p < 0,01 ***p < 0,001
L'analyse des nouvelles condamnations présente quant à elle un autre portrait. En effet, les délinquants membres de gangs ne se distinguent qu'en ce qui concerne les infractions contre la personne, pour lesquelles ils ont reçu beaucoup plus de condamnations que les délinquants du groupe témoin (15,1 % c. 3,5 %; phi = 0,20, p < 0,01).
Analyse du risque à l'aide du LS/CMI
La prochaine section présente les résultats de l'évaluation du risque effectuée à l'aide du LS/CMI, ainsi que leur lien avec les nouvelles arrestations et les nouvelles condamnations. Le tableau 5 ci-dessous compare la répartition des membres de gangs et des non-membres dans les catégories de risque.
| Très faible | Faible | Moyen | Élevé | Très élevé | |
|---|---|---|---|---|---|
| Non-membres | 3 (3,5 %) | 10 (11,6 %) | 19 (22,1 %) | 28 (32,6 %) | 26 (30,2 %) |
| Membres de gangs | 1 (1,2 %) | 4 (4,7 %) | 8 (9,3 %) | 43 (50,0 %) | 30 (34,9 %) |
L'analyse comparative des niveaux de risque indique que, dans l'ensemble, les délinquants membres de gangs présentent un niveau de risque significativement plus élevé (v de Cramer = 0,26, p < 0,05) que les délinquants du groupe témoin. Le tableau 6 détaille les scores moyens aux huit sous-échelles du LS/CMI.
| Non-membres | Membres de gangs | t | d de Cohen | |
|---|---|---|---|---|
| Antécédents criminels | 5,20 | 6,08 | 2,56* | 0,39 |
| Éducation et emploi | 5,63 | 6,81 | 2,96** | 0,45 |
| Famille et couple | 1,47 | 1,53 | 0,36 | 0,05 |
| Loisirs et activités récréatives | 1,62 | 1,78 | 1,87 | 0,29 |
| Fréquentations | 2,45 | 3,10 | 3,87*** | 0,59 |
| Problèmes d'alcool et de drogues | 2,83 | 2,53 | 0,79 | 0,12 |
| Attitude et orientation procriminelles | 1,43 | 2,02 | 2,87** | 0,44 |
| Type de comportement antisocial | 1,91 | 2,42 | 3,06** | 0,39 |
| Total section 1 | 22,52 | 26,29 | 2,80** | 0,43 |
| Forces | 0,02 | 0,00 | 1,42 | 0,22 |
| Total section 2 | 7,14 | 10,43 | 4,01*** | 0,61 |
| Section 2.1 | 5,44 | 7,74 | 3,59*** | 0,55 |
| Section 2.2 | 1,70 | 2,69 | 4,27*** | 0,65 |
| Total section 4 | 2,20 | 1,86 | 1,19 | 0,18 |
| Total section 5 | 1,20 | 1,58 | 2,48* | 0,37 |
*p < 0,05 **p < 0,01 ***p < 0,001
Les résultats du tableau 6 indiquent que les membres de gangs ont obtenu des scores significativement plus élevés aux sous-échelles Antécédents criminels, Éducation et Emploi, Fréquentations, Attitude et orientation procriminelles et Type de comportement antisocial. Les membres de gangs ont aussi obtenu des scores significativement plus élevés que les non-membres au total de la section 1. Les coefficients de taille d'effet (d de Cohen) indiquent que les différences les plus importantes entre les deux groupes concernent l'éducation et l'emploi (d = 0,45), l'attitude et l'orientation procriminelle (d = 0,44) et les fréquentations (d = 0,59). Les totaux des sections 2, 4 et 5 des deux groupes ont aussi été comparés. Des différences significatives ont été observées entre les deux groupes pour la section 2 et la section 5. En effet, des problèmes ont été cernés chez les membres de gangs en ce qui concerne les comportements racistes ou sexistes, la fréquentation de pairs hors du groupe d'âge, les activités sexuelles inappropriées, les habiletés sociales déficientes, le recours à l'intimidation et au contrôle et l'utilisation d'armes. Le détail des comparaisons est présenté en annexe. En ce qui concerne la section 4 (Autres points se rapportant au client), bien que le score total ne distingue pas les deux groupes, les délinquants membres de gangs se distinguaient des non-membres en ce qu'ils présentaient moins de comportements dépressifs et de faible estime de soi, mais plus de problèmes parentaux. Finalement, en ce qui concerne la section 5, Considérations particulières liées à la réceptivité, les membres de gangs obtenaient des scores moyens plus élevés que les non-membres, principalement en raison d'une plus grande fréquence des problèmes liés à l'origine ethnique. Le détail des comparaisons est aussi présenté en annexe.
Figure 1. Comparaison des taux de récidive selon le niveau de risque chez les membres de gangs et les non-membres

Le graphique linéaire ci dessus compare les taux de récidive pour les membres et les non membres d'un gang par rapport à cinq niveaux de risque.
L'axe des Y représente le pourcentage de récidive, qui passe de 0 % pour les délinquants à risque très faible à 40 % pour les délinquants à risque très élevé (membres d'un gang).
L'axe des X représente, de gauche à droite, les cinq niveaux de risque : très faible, faible, moyen, élevé et très élevé.
Résultats
La ligne du haut illustre les non membres. Les taux de récidive débutent à 0 % pour les délinquants à risque très faible. Il demeure à 0 % pour les délinquants à risque faible et augmente ensuite à 15,5 % pour les délinquants à risque moyen. Le taux de récidive se stabilise enfin à 25 % pour les délinquants à risque élevé et à 23,1 % pour les délinquants à risque très élevé.
La ligne du haut représente les membres d'un gang. Les taux de récidive débutent à 0 % pour les délinquants à risque très faible et faible, augmentent ensuite à 12,5 % pour les délinquants à risque moyen et à 11,6 % pour les délinquants à risque élevé. Le taux de récidive des délinquants à risque très élevé est de 40 %.
La figure 1 présente les taux de récidive des membres de gangs et des non-membres pour chacun des niveaux de risque. Dans l'ensemble, les deux groupes montrent des tendances comparables. Dans le cas des niveaux de risque très faible et faible, aucun des délinquants n'avait récidivé à la fin de la période de suivi. Chez les membres de gangs, le taux de récidive des délinquants présentant un risque très élevé atteint 40 %.
Afin de connaître dans quelle mesure le LS/CMI aidait à prédire la récidive chez les délinquants membres de gangs de rue, nous avons effectué une série d'analyse de courbes ROC. La courbe ROC est une technique statistique qui permet d'estimer l'efficacité d'une échelle lorsqu'il s'agit de prédire l'occurrence d'un événement. Elle comporte plusieurs avantages par rapport aux autres techniques, comme la corrélation bisériale de point. Cette technique n'est pas influencée par les faibles taux de base (la récidive est, somme toute, un événement relativement rare, et certaines statistiques perdent de leur efficacité lorsque l'événement à prédire est rare), ce qui est généralement le cas dans les exercices visant à prédire la récidive (Barbaree, Langton et Peacock, 2006; Harris, Rice, Quinsey Lalumière, Boer et Lang, 2003). De plus, elle est désormais considérée comme la méthode de choix pour estimer la précision d'une prédiction ou d'un diagnostic en psychologie légale ou en psychiatrie (Mossman, 1994; Rice et Harris, 2005; Swets, Dawes et Monahan, 2000). L'analyse de courbe ROC génère un coefficient d'aire sous la courbe (ASC), lequel permet de quantifier la qualité de la prédiction. Un coefficient ASC de 0,50 témoigne d'une prédiction équivalente au hasard, alors qu'un ASC de 1,0 équivaut à une prédiction parfaite, c'est-à-dire que tous les récidivistes ont correctement été identifiés, à l'instar de tous les non-récidivistes. Les résultats de l'analyse des courbes ROC pour les nouvelles arrestations et les nouvelles condamnations sont présentés aux tableaux 7 et 8, respectivement.
| Nouvelles arrestations | Nouvelles arrestations pour un crime violent |
|||||
|---|---|---|---|---|---|---|
| Non- membres |
Membres de gangs | Échant. complet | Non- membres |
Membres de gangs | Échant. complet | |
| Antécédents criminels | 0,648* | 0,652 | 0,666*** | 0,496 | 0,575 | 0,562 |
| Éducation et emploi | 0,640* | 0,583 | 0,650** | 0,574 | 0,585 | 0,608* |
| Famille et couple | 0,632* | 0,659* | 0,632** | 0,540 | 0,570 | 0,558 |
| Loisirs et activités récréatives | 0,634* | 0,614 | 0,635** | 0,535 | 0,540 | 0,553 |
| Fréquentations | 0,704*** | 0,666* | 0,721*** | 0,583 | 0,563 | 0,605* |
| Problèmes d'alcool et de drogues | 0,645* | 0,760*** | 0,661*** | 0,572 | 0,566 | 0,557 |
| Attitude et orientation procriminelles | 0,592 | 0,600 | 0,623** | 0,423 | 0,553 | 0,526 |
| Type de comportement antisocial | 0,698** | 0,628 | 0,697*** | 0,524 | 0,570 | 0,574 |
| Total section 1 | 0,706** | 0,733** | 0,728*** | 0,561 | 0,611 | 0,607* |
| Niveau de risque | 0,692** | 0,743** | 0,722*** | 0,554 | 0,609 | 0,603* |
| Forces | 0,522 | 0,500 | 0,509 | 0,520 | 0,500 | 0,505 |
| Total section 2 | 0,646* | 0,574 | 0,659*** | 0,583 | 0,609 | 0,633** |
| Section 2.1 | 0,656* | 0,554 | 0,655*** | 0,583 | 0,573 | 0,612* |
| Section 2.2 | 0,568 | 0,589 | 0,621* | 0,530 | 0,596 | 0,607* |
| Total section 4 | 0,564 | 0,617 | 0,567 | 0,544 | 0,586 | 0,551 |
| Total section 5 | 0,576 | 0,552 | 0,597* | 0,453 | 0,567 | 0,545 |
*p < 0,05 **p < 0,01 ***p < 0,001
Les résultats du tableau 7 indiquent que le total de la section 1 du LS/CMI peut prédire les nouvelles arrestations tant pour les membres de gangs (ASC = 0,733, p < 0,001) que pour les non-membres (ASC = 0,706, p < 0,01). La qualité de la prédiction est quant à elle moins grande en ce qui concerne les nouvelles arrestations pour un crime violent, comme le montrent les coefficients ASC plus faibles. Chez les membres de gangs, la composante la plus fortement liée aux nouvelles arrestations est celle des problèmes d'alcool et de drogues, alors que la dimension des fréquentations est celle qui est la plus fortement associée chez les non-membres. Les coefficients de prédiction des nouvelles condamnations sont relativement similaires à ceux des nouvelles arrestations et sont présentés au tableau 8.
| Nouvelles condamnations | Nouvelles condamnations pour un crime violent |
|||||
|---|---|---|---|---|---|---|
| Non- membres |
Membres de gangs | Échant. complet | Non- membres |
Membres de gangs | Échant. complet | |
| Antécédents criminels | 0,679* | 0,529 | 0,611* | 0,496 | 0,531 | 0,564 |
| Éducation et emploi | 0,621 | 0,658* | 0,645** | 0,618 | 0,658 | 0,682* |
| Famille et couple | 0,584 | 0,620 | 0,602 | 0,466 | 0,556 | 0,539 |
| Loisirs et activités récréatives | 0,621 | 0,543 | 0,583 | 0,663 | 0,516 | 0,570 |
| Fréquentations | 0,608 | 0,588 | 0,604 | 0,886* | 0,553 | 0,669* |
| Problèmes d'alcool et de drogues | 0,700* | 0,725** | 0,713*** | 0,502 | 0,742 | 0,682* |
| Attitude et orientation procriminelles | 0,648 | 0,523 | 0,578 | 0,657 | 0,497 | 0,555 |
| Type de comportement antisocial | 0,620 | 0,619 | 0,613* | 0,697 | 0,556 | 0,619 |
| Total section 1 | 0,680* | 0,717** | 0,688*** | 0,612 | 0,687* | 0,681* |
| Catégorie de risque | 0,625 | 0,712** | 0,662** | 0,550 | 0,703* | 0,680* |
| Forces | 0,486 | 0,500 | 0,493 | 0,488 | 0,500 | 0,494 |
| Total section 2 | 0,612 | 0,546 | 0,593 | 0,849* | 0,542 | 0,662* |
| Section 2.1 | 0,618 | 0,604 | 0,622* | 0,853* | 0,625 | 0,709** |
| Section 2.2 | 0,575 | 0,514 | 0,549 | 0,749 | 0,471 | 0,588 |
| Total section 4 | 0,590 | 0,678* | 0,633* | 0,568 | 0,620 | 0,593 |
| Total section 5 | 0,647 | 0,522 | 0,571 | 0,556 | 0,472 | 0,508 |
*p < 0,05 **p < 0,01 ***p < 0,001
Nous avons ensuite étudié la période sans récidive à l'aide d'analyses de survie. L'analyse de survie (Kleinbaum, 1996; Lee, 1992) est une famille de techniques de modélisation des données portant sur un événement (Kaplan et Meier, 1958). Les analyses de survie, contrairement à d'autres techniques statistiques, sont en mesure de traiter les données censurées, c'est-à-dire des données de survie manquantes pour certains sujets, soit parce qu'ils n'ont pas récidivé, soit parce que la durée de leur suivi était trop courte. Dans leur cas, le temps de survie est par conséquent inconnu. Nous voulions savoir si les courbes de survie variaient en fonction de l'appartenance aux gangs, autrement dit si les périodes sans récidive étaient les mêmes chez les membres de gangs et les non-membres, et si les courbes cumulatives des deux groupes étaient identiques. Dans le cadre de la présente recherche, nous avons eu recours aux estimations non paramétriques des fonctions de survie de Kaplan-Meier (Kaplan et Meier, 1958). Les différences entre les fonctions de survie sont présentées sous forme de valeurs χ2 fondées sur le test de Mantel-Haenzel ou de Mantel-Cox (Mantel, 1966). Les fonctions de survie basées sur le modèle de Kaplan-Meier pour les nouvelles arrestations et les nouvelles condamnations sont présentées à la figure 2.
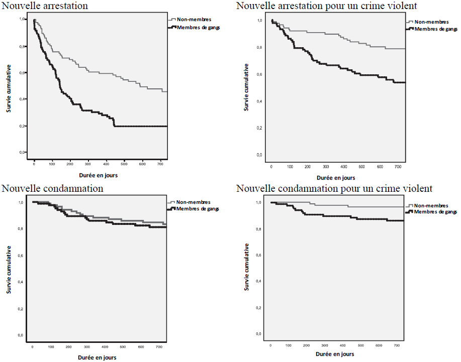
Figure 2. Comparaison des courbes de survie des membres de gangs et des non-membres, nouvelle arrestation et nouvelle condamnation

La représentation graphique ci dessus comprend quatre graphiques distincts. Chacun d'eux représente différentes mesures de la récidive en fonction du nombre de jours à risque.
L'axe des Y illustre le taux de survie cumulatif, dont la cote varie entre 0 et 1.0. L'axe des X représente le nombre de jours, qui passe de 0 à 700.
Résultats
Le graphique situé en haut à gauche illustre les nouvelles arrestations en fonction du nombre de jours à risque. La ligne du haut représente les non membres d'un gang; il y a une pente descendante qui se stabilise à environ 650 jours, la moitié des non membres ayant été arrêtés de nouveau. La ligne du bas représente les membres d'un gang; il y a une pente descendante très prononcée qui se stabilise à environ 450 jours, 80 % des membres d'un gang ayant été arrêtés de nouveau.
Le graphique situé en haut à droite illustre les nouvelles arrestations pour crime violent en fonction du nombre de jours à risque. La ligne du haut représente les non membres d'un gang; il y a une pente descendante qui se stabilise à environ 600 jours, 20 % des non membres ayant été arrêtés de nouveau pour crime violent. La ligne du bas représente les membres d'un gang; il y a une pente très prononcée qui se stabilise à environ 650 jours, quelque 45 % des membres d'un gang ayant été arrêtés de nouveau pour crime violent.
Le graphique situé en bas à gauche illustre les nouvelles condamnations en fonction du nombre de jours à risque. La ligne du haut représente les non membres d'un gang; il y a une faible pente descendante qui se stabilise à environ 450 jours, 15 % des non membres d'un gang ayant été condamnés à nouveau. La ligne du bas représente les membres d'un gang; il y a une faible pente presque parallèle qui se stabilise à environ 450 jours, 20 % des membres d'un gang ayant été condamnés à nouveau.
Le graphique situé en bas à droite illustre les nouvelles condamnations pour crime violent en fonction du nombre de jours à risque. La ligne du haut représente les non membres d'un gang; il y a une légère pente descendante qui se stabilise rapidement à environ 400 jours, 5 % des non membres ayant été condamnés à nouveau pour crime violent. La ligne du bas représente les membres d'un gang; il y a une faible pente descendante qui se stabilise à environ 400 jours, 10 % des membres d'un gang ayant été condamnés à nouveau pour crime violent.
La durée moyenne de la période sans nouvelle arrestation est de 174,8 (médiane = 122,5) et de 236,4 (médiane = 195,5) dans le cas d'une nouvelle arrestation pour un crime violent, tandis que la durée moyenne de la période sans nouvelle condamnation est de 349,1 (médiane = 271) et de 302,5 (médiane = 202,5) dans le cas d'une nouvelle condamnation pour crime violent. D'importantes différences sont observées entre entre les membres de gangs et les non-membres en ce qui concerne les nouvelles arrestations, χ2 (1, n = 172) = 19,1, p <0,001, et les nouvelles arrestations pour un crime violent, χ2 (1, n = 172) = 11,8, p < 0,001.
Nous avons utilisé le modèle des risques proportionnels de Cox afin d'étudier les différences entre les membres et les non-membres quand l'âge et le niveau de risque sont maintenus constants. Le tableau 9 montre que l'appartenance aux gangs est un prédicteur significatif de la récidive (B = 0,83, p < 0,001), même lorsque l'âge et le niveau de récidive sont introduits dans le modèle (B = 0,79, p < 0,001). Les résultats sont similaires en ce qui concerne les nouvelles arrestations pour un crime violent, à savoir que les délinquants membres de gangs ont fait l'objet de plus d'arrestations pour un crime violent que les délinquants du groupe témoin (B = 0,90, p < 0,01).
| Nouvelle arrestation | Nouvelle arrestation pour un crime violent |
|||||||
|---|---|---|---|---|---|---|---|---|
| Modèle 1 | Modèle 2 | Modèle 1 | Modèle 2 | |||||
| B | Exp(B) | B | Exp(B) | B | Exp(B) | B | Exp(B) | |
| Gang (0-1) | 0,83 (0,19) | 2,28*** | 0,79 (0,20) | 2,21*** | 0,95 (0,29) | 2,59** | 0,90 (0,29) | 2,46** |
| Âge au moment de l'évaluation | -0,02 (0,02) | 0,98 | -0,06 (0,03) | 0,94* | ||||
| Niveau de risque (1-5) | ,568 | 1,77*** | 0,29 (0,16) | 1,34† | ||||
| -2 log du rapport de vraisemblance | 1050,760 | 1019,127 | 540,416 | 529,895 | ||||
| χ2 | 19,061*** | 45,029*** | 11,820*** | 20,957** | ||||
†p < 0,10 *p < 0,05 **p < 0,01 ***p < 0,001
Les résultats concernant le modèle des risques proportionnels de Cox pour les nouvelles condamnations indiquent l'absence d'effet prédictif pour les nouvelles condamnations en général (B = 0,001, p > 0,05) mais un effet prédictif significatif en ce qui concerne les nouvelles condamnations pour un crime violent (B = 1,31, p <0,05).
| Nouvelle condamnation | Nouvelle condamnation pour un crime violent |
|||||||
|---|---|---|---|---|---|---|---|---|
| Modèle 1 | Modèle 2 | Modèle 1 | Modèle 2 | |||||
| B | Exp(B) | B | Exp(B) | B | Exp(B) | B | Exp(B) | |
| Gang (0-1) | -0,17 (0,34) | 0,85 | -0,001 (0,35) | 0,99 | 1,45 (0,65) | 4,26* | 1,31 (0,64) | 3,69* |
| Âge au moment de l'évaluation | -0,03 (0,03) | ,98 | -0,06 (0,05) | 0,95 | ||||
| Niveau de risque (1-5) | 0,70 (2,38) | 2,02*** | 0,86 | 2,36* | ||||
| -2 log du rapport de vraisemblance | 330,897 | 318,569 | 146,740 | 139,520 | ||||
| χ2 | 0,232 | 10,694* | 5,974* | 11,529** | ||||
*p < 0,05 **p < 0,01 ***p < 0,001
En somme, l'analyse des données de récidive à l'aide du modèle des risques proportionnels de Cox montre qu'à risque égal, les délinquants membres de gangs risquent plus d'être arrêtés une nouvelle fois, tant pour une infraction en général que pour un crime violent. En outre, à risque égal, les délinquants membres de gangs risquent beaucoup plus d'être condamnés à nouveau pour un crime violent que pour une infraction en général.
Interprétation des résultats
Les deux objectifs de la présente étude étaient de définir des profils de besoins criminogènes propres aux délinquants membres de gangs en comparaison avec ceux des délinquants non membres de gangs et de voir si le LS/CMI pouvait prédire la récidive chez les membres de gangs de rue. Les données ont révélé des différences importantes entre les membres de gangs et les délinquants du groupe apparié. Les antécédents de crimes contre la personne étaient plus fréquents chez les membres de gangs. Comme Huff (1998) l'a souligné, les délinquants membres de gangs commettent plus souvent certaines infractions, comme des infractions liées à la prostitution et à la drogue, que les autres délinquants issus de milieux semblables et ont aussi des antécédents d'autres infractions au Code criminel. De tels résultats concordent avec des observations antérieures, selon lesquelles les membres de gangs commettent plus d'infractions (Thornberry et coll., 2003; Gordon et coll., 2004), et sont responsables de plus de crimes violents (Battin-Pearson, Thornberry, Hawkins et Krohn, 1998; Fagan, 1989; Huff, 1998; Klein, 1995; Spergel et Curry, 1993; Taylor, 1990; Vigil, 1988). Leur carrière criminelle est empreinte d'une délinquance polymorphe et violente. Cette propension à commettre des délits violents a aussi été observée dans les nouvelles arrestations et condamnations dont les membres de gangs ont fait l'objet après leur libération.
Le niveau de risque, mesuré par le LS/CMI, des délinquants membres de gangs révèle certains problèmes. Les membres de gangs ont obtenu des scores plus élevés à toutes les sous-échelles, sauf les sous-échelles Famille et couple et Problèmes d'alcool et de drogues. Les membres de gangs ont par ailleurs des scores plus élevés aux sections 2 (Facteurs particuliers liés aux risques et aux besoins) et 5 (Considérations particulières liées à la réceptivité) de l'instrument. Les délinquants membres de gangs sont donc aux prises avec des besoins importants en matière d'intervention, et des programmes fondés sur les principes du risque, des besoins et de la réceptivité (RBR) sont nécessaires pour réduire le risque (Andrews et Bonta, 2010). À cet égard, l'application des principes RBR auprès des membres de gangs peut réduire la récidive de l'ordre de 20 %, et diminuer aussi la gravité de la deuxième infraction et la fréquence des incidents disciplinaires graves (Di Placido, Simon, Witte, Gu et Wong, 2006).
D'autre part, la présente étude a permis de conclure que le LS/CMI est un instrument utile pour prédire la récidive chez les membres de gangs, mesurée par les nouvelles arrestations ou les nouvelles condamnations. En effet, le LS/CMI a été en mesure de prédire les nouvelles arrestations et condamnations pour de nouvelles infractions, et a permis de prédire les nouvelles condamnations pour des crimes violents. L'analyse des courbes de survie révèle que les délinquants membres de gangs sont arrêtés plus rapidement que les non-membres tant pour des infractions en général que pour des crimes violents, et qu'ils sont plus rapidement condamnés pour des crimes violents. Des analyses multivariées réalisées à l'aide du modèle des risques proportionnels de Cox semblent indiquer qu'à risque égal, les délinquants membres de gangs sont arrêtés plus souvent pour des infractions en général, mais aussi pour des crimes violents. Il en va de même pour les nouvelles condamnations pour des crimes violents : à âge égal et à risque égal, les membres de gangs risquent davantage d'être condamnés à nouveau que les non-membres.
Limites de la recherche
La présente recherche comporte aussi un certain nombre de limites. La première concerne la composition même de l'échantillon, qui a été influencée par deux biais de sélection distincts, l'un étant lié à l'échantillonnage et l'autre, au processus judiciaire. Le biais d'échantillonnage tient à la sélection d'un échantillon de délinquants à risque élevé (ceux ayant écopé d'une peine de plus de six mois), donc plus à même de récidiver, et qui n'est pas représentatif de l'ensemble des délinquants pris en charge par les Services correctionnels du Québec. Cet effet de sélection a probablement eu aussi un impact sur les coefficients. En effet, en présence d'un effet de sélection, il est particulièrement difficile d'observer des relations fortes entre les variables. Si tous les sujets sont à haut risque, il est très difficile d'observer une relation entre le risque et la récidive faute de variance. C'est la difficulté à laquelle nous avons fait face. Malgré cela, la qualité de la prédiction était très comparable aux observations faites dans d'autres contextes, où les résultats présentaient une plus grande variance.
Le second effet de sélection est attribuable au profil des punis. L'analyse des données révèle une clientèle très jeune. Or, les délinquants plus âgés, au parcours criminel plus étoffé, ont été écartés de l'échantillon. En effet, au Canada, les délinquants au passé criminel plus lourd écopent généralement de peines fédérales. Les délinquants actifs et persistants de l'actuel échantillon sont ceux qui ont su maintenir un niveau de gravité relativement faible et ainsi éviter d'écoper de peines d'emprisonnement fédérales. Un tel filtrage incite à une lecture prudente des résultats en ce qui concerne la généralisabilité.
Orientations futures
L'appartenance aux gangs comme facteur de risque particulier
Les résultats de la présente étude indiquent qu'à risque égal, l'appartenance aux gangs, même mesurée imparfaitement, crée une variance unique. En d'autres termes, connaître l'appartenance permet, dans une certaine mesure, d'expliquer la délinquance au-delà des facteurs de risque génériques mesurés à l'aide du LS/CMI. Or, à l'heure actuelle, peu de travaux peuvent expliquer cette valeur ajoutée. Récemment, Guay et ses collègues (Guay et Fredette, 2010; Guay et Gaumont-Casias, 2009) ont proposé un modèle multidimensionnel de l'appartenance aux gangs. Dans ce modèle, les auteurs proposent de remplacer la mesure dichotomique de l'appartenance par une mesure fondée sur quatre dimensions. L'exercice consisterait donc à passer d'une simple identification des membres et des non-membres à une étude ciblée de paramètres propres aux groupes criminalisés. Ces quatre dimensions permettraient donc de mieux comprendre l'effet de l'appartenance aux gangs sur la délinquance. Le modèle se compose de deux dimensions mesurant des composantes génériques (Participation aux activités criminelles et Tendances psychopathiques) et de deux dimensions spécifiques (Adhésion à la culture et aux valeurs du gang et Place occupée dans le réseau criminel). Une étude plus approfondie de ces deux familles de facteurs pourrait éventuellement permettre de mieux comprendre la délinquance des membres de groupes criminalisés et, en définitive, de définir des besoins criminogènes propres aux délinquants impliqués dans des réseaux criminels.
L'adhésion à la culture et aux valeurs du gang
L'adhésion à la culture et aux valeurs du gang figure parmi les dimensions les plus souvent citées pour définir le gang de rue et pour déterminer l'appartenance d'un délinquant à un gang (Klein, 2005; Rosenfeld, Bray et Egley, 1999, Esbensen et Huizinga, 1993). Dans la littérature décrivant les manifestations de la culture et des valeurs d'un gang de rue, les principaux indicateurs répertoriés sont l'existence d'un nom de groupe spécifique, l'attribution d'un surnom aux membres qui le composent, l'habillement et les autres attributs liés à la culture gangster, le port de couleurs particulières, les tatouages, les graffitis et l'étalement du statut et du prestige par la possession ostentatoire de biens de luxe et de bijoux.
Par ailleurs, des valeurs spécifiques sous-tendent la culture des gangs. Pour certains (Totten, 2000; Dorais, 2006; Fleury, 2008), il s'agit essentiellement d'une sous-culture de domination où l'usage de la violence est légitimé. La violence est institutionnalisée dans des rites initiatiques et rattachée à un code d'honneur, qui définit l'agression comme la réponse acceptable quand quelqu'un remet en question l'image ou le statut d'un membre et la réputation du gang. Les comportements violents seraient, par ailleurs, assujettis à un système de récompenses et de punitions faisant en sorte qu'un membre qui respecte les normes du gang est admiré et respecté des autres, alors que celui qui ne s'y conforme pas est ridiculisé, voire expulsé du groupe. Pour les membres de gangs de rue, être viril ou masculin, ou du moins ce qu'ils perçoivent comme l'idéal masculin, signifie susciter le respect par la crainte et l'intimidation, faire preuve d'insensibilité, utiliser la violence physique sans contrainte ni retenue, dominer les femmes et être sexuellement actif avec plusieurs partenaires sexuelles. En étudiant mieux l'adhésion aux normes et aux valeurs du gang, nous pourrions mieux comprendre l'effet du gang sur la délinquance et, en définitive, mieux prédire la récidive chez les délinquants membres de gangs.
La place occupée dans la structure du gang et le réseau criminel
L'un des vecteurs de la criminalité les plus importants chez les délinquants membres de gangs concerne leur milieu immédiat et l'influence qu'ont les qualités structurales du gang sur leur comportement. Les études sur le lien entre l'appartenance aux gangs et le comportement délinquant avancent deux propositions générales, lesquelles orientent notre compréhension de la prédisposition à la récidive des délinquants. La première proposition concerne l'effet facilitateur du gang de rue (Thornberry, Krohn, Lizotte, Smith et Tobin, 2003, Fagan, 1989). En devenant membres d'un gang de rue, les délinquants ont plus d'occasions de commettre des crimes et de moyens de saisir ces occasions.
La seconde proposition concerne la structure de groupe des gangs. Bien que l'on puisse croire que l'effet facilitateur provient de l'inclusion dans une infrastructure criminelle particulièrement cohérente et organisée, les études sur le fonctionnement des gangs laissent penser autrement (Morselli, 2009). Ces études postulent que les gangs ne sont pas des groupes structurés et efficacement agencés, mais plutôt des structures informelles et malléables, autour desquelles gravitent délinquants et autres acteurs qui participent tous à divers degrés à un ensemble d'activités criminelles variées (Klein et Maxson, 2006, McGloin, 2005; Decker, Bynum et Weisel, 1998). Bien que certains aient été en mesure d'observer des organisations criminelles structurées (voir, par exemple, Venkatesh et Levitt, 2000; Levitt et Venkatesh 2000) les actions des délinquants membres de gangs se trament généralement en petites cliques voire individuellement. Même si un gang comporte beaucoup de membres, ses membres n'interagissent pas tous de manière cohérente dans le cadre de leurs activités criminelles (Spergel, 1995; Sanders, 1994; Virgil, 1988; Short et Strodtbeck, 1965; Thrasher, 1927). Bien que cela puisse paraître contre-intuitif, les gangs de rue forment de petits groupes solidaires, sans réel leadership, et organisés en configurations flexibles et changeantes (Klein et Maxson, 2006; Weisel, 2002; Klein, 1971; Klein et Crawford, 1967). Une analyse nuancée de la structure des gangs devrait porter une attention particulière à cette diversité et s'intéresser aux différents paramètres généralement utilisés dans l'étude de ces groupes criminels (Morselli, 2009). Ces dimensions, dérivées de la perspective des réseaux sociaux, devraient permettre d'étudier les propriétés structurales des gangs et leur effet sur la délinquance dans un cadre empirique et, enfin, permettre de prédire et d'expliquer la récidive.
Bibliographie
Akers, Ronald L. 1985. « Social Learning Theory and Adolescent Cigarette Smoking », Social Problems, vol. 32, p. 455-473.
Akman, D.D., A. Normandeau et S. Turner. 1967. « The measurement of delinquency in Canada », The journal of criminal Law, criminology and police science, vol. 58, p. 330-337.
Andrews, D.A., et J.A. Bonta. 2010. The psychology of criminal conduct (5e éd.), Cincinnati (Ohio), Anderson.
Andrews, D.A., J.A. Bonta et J.S. Wormith. 2004. Level of service/Case management inventory: LS/CMI Manual, Toronto, MultiHealth Systems.
Barbaree, H.E., C.M. Langton et E.J. Peacock. 2006. « The Factor Structure of Static Actuarial Items: Its Relation to Prediction », Sexual Abuse: A Journal of Research and Treatment, vol. 18, p. 207-226.
Battin-Pearson, S.R., T.P. Thornberry, J.D. Hawkins et M.D. Krohn. 1998. « Gang membership, delinquent peers, and delinquent behavior », Juvenile Justice Bulletin, Washington (D.C.), US Department of Justice.
Beare, M., et J. Ronderos. 2001. Exploratory review of media coverage on organized crime in Canada: 1995-2000, Ottawa, Department of Justice.
Bendixen, M., I.M. Endresen et D. Olweus. 2006. « Joining and Leaving Gangs: Selection and Facilitation Effect on Self-Reported Antisocial Behaviour in Early Adolescence », European Journal of Criminology, vol. 3, p. 85-114.
Bentenuto, L. 2008. « Les gangs de rue : perspective du régime correctionnel fédéral », Gazette, vol. 70, p. 20-21.
Bjerregaard, B., et A.J. Lizotte. 1995. « Gun Ownership and Gang Membership », Journal of Criminal Law & Criminology, vol. 86, p. 37-58.
Bjerregaard, B., et C.A. Smith. 1993. « Gender Differences in Gang Participation, Delinquency, and Substance Use », Journal of Quantitative Criminology, vol. 9, p. 329-355.
Bjerregaard, B. 2002. « Self-definitions of gang membership and involvement in delinquent activities », Youth and Society, vol. 34, p. 31-54.
Blumstein, A., et J. Cohen. 1987. « Characterizing criminal careers », Science, p. 985-991.
Brisebois, R.-A. 2007. Parcours de parents immigrants dont le fils a fait l'expérience d'un gang de rue et d'une institutionnalisation : un vécu familial bouleversé, mémoire de maîtrise, Montréal, Université de Montréal, École de criminologie.
Camp, G.M., et C.G. Camp. 1985. Prison gangs: Their extent, nature, and impact on prisons, Washington (D.C.), U.S. Department of Justice.
Campbell, A. 1984. The Girls in the Gang: A Report from New York City, New York, Basil Blackwell.
Cleckley. 1976. The Mask of Sanity, St. Louis, Mosby.
Covey, H.C., S.W. Menard et R.J. Franzese. 1992. Juvenile Gangs, Springfield, Charles C. Thomas.
Craig, W.M., F. Vitaro, C. Gagnon et R.E. Tremblay. 2002. « The Road to Gang Membership: Characteristics of Male Gang and Nongang Members from Ages 10 to 14 », Social Development, vol. 11, p. 3-68.
Curry, G.D., et S.H. Decker. 2003. Confronting Gangs: Crime and Community (2e éd.), Los Angeles, Roxbury.
Curry, G.D., et I.A. Spergel. 1992. « Gang Involvement and Delinquency among Hispanic and African Adolescent Males », Journal of Research in Crime and Delinquency, vol. 29, p. 273-291.
Curry, G.D. 2000. « Self-Reported Gang Involvement and Officially Recorded Delinquency », Criminology, vol. 38, p. 1253-1274.
Decker, S. H., Bynum, T. S., & Weisel, D. L. (1998). A tale of two cities: Gangs as organized crime groups. Justice Quarterly, 15, 395-425.
Decker, S.H., et B. Van Winkle. 1996. Life in the Gang: Family, Friends and Violence, Cambridge, Cambridge University Press.
Di Placido, C., T.I. Simon, T.D. Witte, D. Gu et S.C.P. Wong. 2006. « Treatment of Gang Members Can Reduce Recidivism and Institutional Misconduct », Law and Human Behavior, vol. 30, p. 93-114.
Dorais, M. 2006. Jeunes filles sous influence: prostitution juvénile et gangs de rue, avec la collaboration de P. Corriveau, Montréal, VLB Éditeur.
Dupéré, V., É. Lacourse, D.J. Willms, F. Vitaro et E.R. Tremblay. 2007. « Affiliation to Youth Gangs during Adolescence: The Interaction between Childhood Psychopathic Tendencies and Neighborhood Disadvantages », Journal of Abnormal Child Psychology, vol. 35, p. 1035-1045.
Dusonchet, A. 2002. Images et mirages de la réalité des gangs de jeunes dans la presse francophone montréalaise, mémoire de maîtrise, École de criminologie, Université de Montréal.
Egley, A. Jr. 2000. Highlights of the 1999 National Youth Gang Survey, Washington, Department of Justice, Office of Justice Programs, Office of Juvenile Justice and Delinquency Prevention, « Fact Sheet », no 20.
Elliot, D.S., et S. Menard. 1996. « Delinquent Friends and Delinquent Behavior », dans J. D. Hawkins (dir.), Delinquency and Crime: Current Theories, Cambridge, Cambridge University Press.
Esbensen, F.A., et D. Huizinga. 1993. « Gangs, Drugs, and Delinquency in a Survey of Urban Youth », Criminology, vol. 31, p. 565-590.
Esbensen, F.A., D. Huizinga et A.W. Weiher. 1993. « Gang and Non-Gang Youth: Difference in Explanatory Factors », Journal of Contemporary Criminal Justice, vol. 9, p. 94-116.
Esbensen, F.A., L.T. Winfree, N. He et T.J. Taylor. 2001. « Youth Gangs and Definitional Issues: When is a Gang a Gang, and Why Does it Matter? », Crime and delinquency, vol. 47, p. 105-130.
Fagan, J.E. 1989. « The Social Organization of Drug Use and Drug Dealing Among Urban Gangs », Criminology, vol. 27, p. 633–669.
Fagan, J.E. 1990. « Social Processes of Delinquency and Drug Use among Urban Gangs », dans C.R. Huff (dir.), Gangs in America, Newbury Park, Sage Publications.
Farrington, D.P. 2007. « Advancing Knowledge About Desistance », Journal of Contemporary Criminal Justice, vol. 23, p. 125-134.
Fleisher, M.S., et S. Decker. 2001. « An Overview of the Challenge of Prison Gangs », Corrections Management Quarterly, vol. 5, p. 1-9.
Fleury, E. 2008. Exploration des perceptions et de l'expérience des jeunes hommes associés aux gangs quant aux rapports de genre et à la sexualité, mémoire de maîtrise, Département de sexologie, Université du Québec à Montréal.
Gaes, G.G., S. Wallace, E. Gilman, J. Klein-Saffran et S. Suppa. 2002. « The influence of prison gang affiliation on violence and other prison misconduct », The Prison Journal, vol. 82, p. 359-385.
Gatti, U., R.E. Tremblay, V. Vitaro et P. McDuff. 2005. « Youth Gangs, Delinquency and Drug Use: A Test of the Selection, Facilitation, and Enhancement Hypotheses », Journal of Child Psychology and Psychiatry, vol. 46, p. 1178-1190.
Goldstein, A.P. 1991. Delinquent Gangs: A Psychological Perspective, Chicago, McNaughton and Gunn.
Gordon, R.A., B.B. Lahey, E. Kawai, R. Loeber, M. Stouthamer-Loeber et D. Farrington. 2004. « Antisocial Behavior and Youth Gang Membership: Selection and Socialization », Criminology, vol. 42, p. 55-87.
Griffin, M.L., et J.R. Hepburn 2006. « The effect of gang affiliation on violent misconduct among inmates during the early years of confinement »,Criminal Justice and Behavior, vol. 33, p. 419-448.
Guay, J.P., et J.F. Couture-Poulin. 2011. Profil des contrevenants associés aux gangs de rue, Québec, Gouvernement du Québec, Ministère de la Sécurité publique, Direction de la recherche.
Guay, J.P., et C. Fredette. 2010. « Le phénomène des gangs de rue et la mesure », dans M. Blanc et M. Cusson (dir.), Traité de criminologie empirique, Montréal, Les Presses de l'Université de Montréal.
Guay, J.P., et J. Gaumont-Casias. 2009. Sur la mesure du phénomène des gangs de rue au Québec: vers le développement d'un cadre de mesure, Québec, Gouvernement du Québec, Ministère de la Sécurité publique, Direction de la recherche.
Hagedorn, J.M. 1988. People and Folks: Gangs, Crime and the Underclass in a Rustbelt City, Chicago, Lake View Press.
Hall, G.P., T.P. Thornberry et A.J. Lizotte. 2006. « The Gang Facilitation Effect and Neighborhood Risk: Do Gangs have a Stronger Influence on Delinquency in Disadvantaged Areas? », dans J.F. Short et L.A. Hugues (dir.), Studying Youth Gangs, New York, AltaMira Press.
Hamel, S., C. Fredette, M.F. Blais et J. Bertot. 1998. Jeunesse et gangs de rue, phase II: résultats de la recherche-terrain et proposition d'un plan stratégique quinquennal, en collaboration avec M.M. Cousineau, Montréal, Institut de recherche pour le développement social des jeunes.
Hare, R.D. 1993. Without Conscience: The Disturbing World of the Psychopaths among Us, New York, Simon and Schuster.
Harris, G. T., M.E. Rice, V.L. Quinsey, M.L. Lalumière, D. Boer et C. Lang. 2003. « A multisite compraison of actuarial rish assesssment for sex offenders », Psychological Assessment, vol. 15, p. 413-425.
Haviland, A.M., et D.S. Nagin. 2005. « Causal Inference with Group based Trajectory Models », Psychometrika, vol. 70, p. 1-22.
Hill, K.G., J.C. Howell, J.D. Hawkins et S.R. Battin-Pearson. 1999. « Childhood Risk Factors for Adolescent Gang Membership: Results from the Seattle Social Development Project », Journal of Research in Crime and Delinquency, vol. 36, p. 300-322.
Horowitz, R. 1983. Honor and the American Dream: Culture and Identity in a Chicago Community, New Brunswick (N.J.), Rutgers University Press.
Horowitz, R. 1990. « Sociological Perspectives on Gangs: Conflicting Definitions and Concepts », dans C.R. Huff (dir.), Gangs in America, Newbury Park, Sage Publications.
Howell, J.C. 1994. « Recent Gang Research: Program and Policy Implications », Crime and Delinquency, vol. 40, p. 495-515.
Huebner, B.M. 2003. « Administrative determinates of inmate violence », Journal of Criminal Justice, vol. 31, p. 107-117.
Huebner, B.M., P.S. Varano et S.B. Timithy. 2007. « Gangs, Guns, and Drugs: Recidivism amoung Serious, Young Offenders », Criminology and public policy, vol. 6, p. 187-222.
Huff, C.R. 1996. « The Criminal Behavior of Gang Members and Nongang At-Risk Youth », dans R.C. Huff (dir.), Gangs in America (2e éd.), Thousand Oaks, Sage Publications.
Huff, C.R. 1998. « Comparing the criminal behavior of youth gangs and at-risk youths », National Institute of Justice: Research in Brief, OJJDP, U.S. Department of Justice.
Kaplan, E.L., et P. Meier. 1958. « Nonparametric estimation from incomplete observations », Journal of the American Statistical Association, vol. 53, p. 457-48.
Katz, C.M., et V.J. Webb. 2006. Policing Gangs in America, Cambridge, Cambridge University Press.
Klein, M.W. 1971. Street Gangs and Street Workers, Englewood Cliffs, Prentice Hall.
Klein, M.W. 1995. The American Street Gang: Its Nature, Prevalence, and Control, Oxford, Oxford University Press.
Klein, M.W. 2005. « The Value of Comparisons in Street Gang Research », Journal of Contemporary Criminal Justice, vol. 21, p. 237-254.
Klein, M.W., et L.Y. Crawford. 1967. « Groups, Gangs, and Cohesiveness », Journal of Research in Crime and Delinquency, vol. 4, p. 63-75.
Klein, M.W., et C.L. Maxson. 1989. « Street gang violence », dans N. Weiner, M. Wolfgang (dir.), Violent Crime, Violent Criminals, Newbury Park (Calif.), Sage Publications.
Klein, M.W., et C.L. Maxson. 2006. Street Gangs: Patterns and Policies, New York, Oxford University Press.
Kleinbaum, D. G. 1996. Survival Analysis: A Self-learning Text, Springer, New York.
Krohn, M.D,. et T.P. Thornberry. 2008. « Longitudinal Perspectives on Adolescent Street Gangs », dans A.M. Liberman (dir.), The Long View of Crime: A Synthesis of Longitudinal Research, New York, Springer Sciences and Business Media.
Lacourse, E., D. Nagin, R.E. Tremblay, F. Vitaro et M. Claes. 2003. « Developmental trajectories of boys' delinquent group membership and facilitation of violent behaviours during adolescence », Development and Psychopathology, vol. 15, p. 183-197.
Lacourse, É., D. Nagin, F. Vitaro, S. Côté, L. Arsenault et R.E. Tremblay. 2006. « Prediction of Early-Onset Deviant Peer Group Affiliation: A 12-Year Longitudinal Study », Archives of General Psychiatry, vol. 63, p. 562-568.
Lahey, B.B., R.A. Gordon, R. Loeber, M. Stouthamer-Loeber et D.P. Farrington. 1999. « Boys Who Join Gangs: A Prospective Study of Predictors of First Gang Entry », Journal of Abnormal Child Psychology, vol. 27, p. 261-276.
Lanctôt, N., et M. Le Blanc. 1996. Filles et garçons membres de bandes marginales, les adolescents en difficulté des années 1990, Montréal, Groupe de recherche sur les adolescents en difficulté.
Le Blanc, M., et N. Lanctôt. 1998. « Social and Psychological Characteristic of Gang Members According to the Gang Structure and its Subcultural and Ethnic Making », Journal of Gang Research, vol. 5, p. 15-28.
Lee, E.T. 1992. Statistical Methods for Survival Data Analysis (2e éd.), Wiley, New York.
Léger Marketing. 2004. Étude sur le sentiment de sécurité des Montréalais, Montréal, Québec.
Levitt, S., et S.A. Venkatesh. 2000. « An Economic Analysis of a Drag-Selling Gang's Finances », Quarterly Journal of Economics, vol. 13, p. 755-789.
Lykken, D.T. 1995. The Antisocial Personalities, Hillsdale (N.J.), Lawrence Erlbaum.
Mantel, N. 1966. « Evaluation of survival data and two new rank order statistics arising in its consideration », Cancer Chemotherapy Reports, vol. 50, p. 163–70.
Maxson, C.L. 1998. Gang Members on the Move, Washington, Department of Justice, Office of Justice Programs, Office of Juvenile Justice and Delinquency Prevention.
McCorkle, R.C., et T.D. Miethe. 2001. Panic: The social construction of the street gang problem, Upper Saddle.
McGloin, J.M. 2005. « Police and intervention considerations of a network analysis of street gangs », Criminology, vol. 46, p. 155-188.
Miller, J. 2001. One of the Guys: Girls, Gangs, and Gender, New York, Oxford University Press.
Miller, W.B. 1975. Violence by Youth Gangs and Youths Groups as a Crime Problem Major American Cities, Washington, Department of Justice, Office of Justice Programs, Office of Juvenile Justice and Delinquency Prevention.
Miller, W.B. 1980. « Gangs, Groups, and Serious Youth Crime », dans D. Schichor et D. Kelly (dir.), Critical Issues in Juvenile Delinquency, Lexington, Lexington.
Ministère de la Sécurité publique. 2007. Plan d'intervention québécois sur les gangs de rue 2007-2010, Québec (Canada), Gouvernement du Québec.
Moore, J.W. 1991. Going Down to the Barrio: Homeboys and Homegirls in Change, Philadelphie, Temple University Press.
Morselli, C. 2009. Inside Criminal Networks, New York, Springer Science and Business Media.
Mossman, D. 1994. « Assessing predictions of violence : being acurate about accuracy », Journal of Consulting and Clinical Psychology, vol. 62, p. 783-792.
Petersen, R. 2000. « Definitions of a gang and impacts on public policy », Journal of Criminal Justice, vol. 28, p. 139-149.
Piquero, A.R., D.P. Farrington et A. Blumstein. 2003. « The criminal career paradigm », dans M. Tonry (dir.), Crime and Justice: A Review of Research, vol. 30. Chicago, University of Chicago Press, p. 359-506.
Rice, M.E., et G.T. Harris. 2005. « Comparing effect sizes in follow-up studies: ROC area, Cohen's d, and r », Law and Human Behavior, vol. 29, p. 615-620.
Rosenfeld, R., T. Bray et A. Egley. 1999. « Facilitating violence: A comparison of gang-motivated, gang-affiliated, and nongang youth homicides », Journal of Quantitative Criminology, vol. 15, p. 495-516.
Rossi, P., et A. Anderson. 1982 « The Factorial Survey Approach: An Introduction », dans P. Rossi et S. Nock (dir.), Measuring Social Judgments: The Factorial Survey Approach, Beverly Hills, Sage.
Sanchez-Jankowski, M. 1991. Islands in the Street: Gangs and American Urban Society, Berkeley, University of California Press.
Sanders, W.B. 1994. Gangbangs and Drive-Bys: Grounded Culture and Juvenile Gang Violence, New York, Aldine De Gruyter.
Schram, P.J., et L.K. Gaines. 2005. « Examining delinquent nongang members and delinquent gang members », Youth Violence and Juvenile Justice, vol. 3, p. 99-115.
Sellin, T., et M. Wolfgang. 1964. The Measurement of Delinquency, New York, Wiley.
Service de Police de la Ville de Montréal. 2004. Plan d'action corporatif 2005 du SPVM. Adresse : www.spvm.qc.ca.
Short, J.F., et F.L. Strodtbeck. 1965. Group Process and Gang Delinquency, Chicago, University of Chicago Press.
Spergel I.A. 1995. The Youth Gang Problem: A Community Approach, New York, Oxford University Press.
Spergel, I.A. 2009. « Gang Databases: To Be or Not To Be », Criminology and Public Policy, vol. 8, p. 667-674.
Spergel, I.A., et G.D. Curry. 1993. « The national youth gang survey: A research and development process », dans A.P. Goldstein et C.R. Huff (dir.), The Gang Intervention Handbook, Champaign Reserch Press, p. 359-399.
Spergel, I.A., et G.D. Curry. 1988. Survey of Youth Gang Problems and Program in 45 cities and 6 sites. Chicago, University of Chicago Press.
Statistique Canada. 2009. La mesure de la criminalité au Canada : présentation de l'Indice de gravité de la criminalité et des améliorations au Programme de déclaration uniforme de la criminalité, Ottawa.
Swets, J.A., R.M. Dawes et J. Monahan. 2000. « Psychological science can improve diagnostic decisions », Psychological Sciences in the Public Interest (supplément de Psychological Science), vol. 1, p. 177-178.
Takata, S.R., et R.G. Zevitz. 1990. « Divergent perceptions of group delinquency in a Midwest community: Racine's gang problem », Youth and Society, vol. 3, p. 74-92.
Taylor, C. 1990. Dangerous Society. East Lansing (Mich.), Michigan State University Press.
Thornberry, T.P. 1998. « Membership in Youth Gangs and Involvement in Serious and Violent Offending », dans R. Loeber et D.P. Farrington (dir.), Serious and Violent Offenders: Risk Factors and Successful Interventions, Thousand Oaks, Sage Publications.
Thornberry, T.P., B. Bjerregaard et W. Miles. 1993. « The Consequences of Respondent Attrition in Panel Studies: A Simulation based on the Rochester Youth Development Study », Journal of Quantitative Criminology, vol. 9, p. 127-158.
Thornberry, T.P., D.M. Krohn, J.A. Lizotte et D. Chard-Wierschem. 1993. « The Role of Juvenile Gangs in Facilitating Delinquent Behaviour », Journal of Research in Crime and Delinquency, vol. 30, p. 55-87.
Thornberry, T.P., M.D. Krohn, A.J. Lizotte, C.A. Smith et K. Tobin. 2003. Gangs and Delinquency in Developmental Perspective, New York, Cambridge University Press.
Thrasher, F.M. 1927. The Gang: A Study of 1 313 Gangs in Chicago, Chicago, University of Chicago Press.
Totten, M.D. 2000. Guys, Gangs and Girlfriend Abuse, Ontario, Broadview Press.
Valdez, A., C.D. Kaplan et E. Codina. 2000. « Psychopathy among Mexican American Gang Members: A Comparative Study », International Journal of Offenders Therapy and Comparative Criminology, vol. 44, p. 46-58.
Venkatesh, S.A., et S.D. Levitt. 2000. « Are we a family or a business? History and disjuncture in the urban American street gang », Theory and Society, vol. 29, p. 427-462.
Vigil, J.D. 1988. Barrio Gangs: Street Life and Identity in Southern California, Austin, University of Texas Press.
Warr, M. 1993. « Age, Peers, and Delinquency », Criminology, vol. 31, p. 17-40.
Wiesel, D.L. 2002. Contemporary Gangs: An Organizational Analysis, New York, LFB Scholarly Publishing.
Wolfgang, M.E., R.M. Figlio, P.E. Tracy et S.I. Singer. 1985. The national survey of crime severity, Washington (D.C.), U.S. Government Printing Office.
Zhang, L., J.W. Welte et W.F. Wieczoreck. 1999. « Youth Gangs, Drugs Use, and Delinquency », Journal of Criminal Justice, vol. 27, p. 101-109.
Annexes
| Non-membres | Membres de gangs |
||||
|---|---|---|---|---|---|
| n | % | n | % | phi | |
| Grande difficulté à se conformer aux conditions imposées | 43 | (50,6 %) | 54 | (64,3 %) | 0,14 |
| Diagnostic de « psychopathie » | 0 | (0,0 %) | 0 | (0,0 %) | 0,00 |
| Diagnostic d'un autre trouble de la personnalité | 41 | (48,2 %) | 62 | (72,1 %) | 0,24** |
| Menaces de la part d'une tierce personne | 43 | (50,6 %) | 62 | (72,1 %) | 0,22** |
| Difficultés dans la résolution de problèmes ou le contrôle de soi | 54 | (62,8 %) | 68 | (79,1 %) | 0,18* |
| Difficultés de gestion de la colère | 46 | (53,5 %) | 65 | (75,6 %) | 0,23** |
| Comportement intimidant ou contrôlant | 45 | (53,6 %) | 66 | (77,6 %) | 0,25*** |
| Activités sexuelles inappropriées | 40 | (47,1 %) | 63 | (73,3 %) | 0,27*** |
| Habiletés sociales déficientes | 42 | (48,8 %) | 63 | (73,3 %) | 0,25*** |
| Fréquentation de pairs hors du groupe d'âge | 39 | (45,9 %) | 62 | (72,1 %) | 0,27*** |
| Comportement raciste ou sexiste | 39 | (45,9 %) | 64 | (74,4 %) | 0,29*** |
| Sous-performance | 12 | (14,0 %) | 17 | (20,2 %) | 0,08 |
| Accusations pendantes | 18 | (20,9 %) | 17 | (20,2 %) | -0,01 |
| Autre | 6 | (7,0 %) | 3 | (3,6 %) | -0,08 |
| Agress. sex. extrafam. d'un enfant ou d'un adolescent de sexe masc. | 0 | (0,0 %) | 0 | (0,0 %) | 0,00 |
| Agress. sex. extrafam. d'un enfant ou d'un adolescent de sexe fém. | 2 | (2,3 %) | 4 | (4,7 %) | 0,06 |
| Agress. sex. extrafam. d'un adulte de sexe masculin | 0 | (0,0 %) | 0 | (0,0 %) | 0,00 |
| Agress. sex. extrafam. d'un adulte de sexe féminin | 2 | (2,3 %) | 1 | (1,2 %) | -0,04 |
| Agress. sex. intrafam. d'un enfant ou d'un adolescent de sexe masculin | 0 | (0,0 %) | 0 | (0,0 %) | 0,00 |
| Agress. sex. intrafam. d'un enfant ou d'un adolescent de sexe féminin | 0 | (0,0 %) | 1 | (1,2 %) | 0,08 |
| Agress. sex. intrafam. d'un adulte (conjoint ou conjointe) | 0 | (0,0 %) | 0 | (0,0 %) | 0,00 |
| Agression physique extrafam. d'un adulte | 33 | (38,8 %) | 52 | (60,5 %) | 0,22** |
| Agression physique intrafam. d'un enfant ou d'un adolescent | 1 | (1,2 %) | 2 | (2,3 %) | 0,04 |
| Agression physique intrafam. d'un adulte (conjoint ou conjointe) | 7 | (8,1 %) | 20 | (23,5 %) | 0,21** |
| Agression contre une figure d'autorité | 17 | (19,8 %) | 19 | (22,1 %) | 0,04 |
| Harcèlement ou persécution | 3 | (3,5 %) | 9 | (10,5 %) | 0,14 |
| Utilisation d'armes | 30 | (34,9 %) | 53 | (63,1 %) | 0,28*** |
| Incendie criminel | 5 | (5,8 %) | 4 | (4,7 %) | -0,02 |
| Conduite avec facultés affaiblies | 9 | (10,5 %) | 5 | (5,8 %) | -0,09 |
| Vol à l'étalage | 26 | (30,2 %) | 24 | (28,6 %) | -0,02 |
| Crime économique | 4 | (4,7 %) | 3 | (3,5 %) | -0,03 |
| Appartenance à un gang criminalisé | 5 | (5,8 %) | 31 | (37,3 %) | 0,39*** |
| Crime organisé | 2 | (2,3 %) | 3 | (3,5 %) | 0,04 |
| Crime haineux | 0 | (0,0 %) | 0 | (0,0 %) | 0,00 |
| Activités terroristes | 0 | (0,0 %) | 0 | (0,0 %) | 0,00 |
*p < 0,05 **p < 0,01 ***p < 0,001
| Non-membres | Membres de gangs |
||||
|---|---|---|---|---|---|
| n | % | n | % | phi | |
| Problèmes financiers | 35 | (40,7 %) | 32 | (37,2 %) | -0,04 |
| Sans-abri ou vagabond | 9 | (10,5 %) | 5 | (5,8 %) | -0,09 |
| Problèmes d'hébergement | 10 | (11,6 %) | 10 | (11,6 %) | 0,00 |
| Problèmes d'immigration | 1 | (1,2 %) | 3 | (3,5 %) | 0,08 |
| Préoccupations parentales | 4 | (4,7 %) | 13 | (15,1 %) | 0,18* |
| Problèmes de santé (VIH, sida, etc.) | 5 | (6,0 %) | 2 | (2,3 %) | -0,09 |
| Déficience physique | 1 | (1,2 %) | 0 | (0,0 %) | -0,08 |
| Difficultés d'apprentissage | 9 | (10,6 %) | 5 | (5,8 %) | -0,09 |
| Trouble du spectre de l'alcoolisation fœtale (TSAF) | 1 | (1,2 %) | 0 | (0,0 %) | -0,08 |
| Dépression | 8 | (9,4 %) | 0 | (0,0 %) | -0,22** |
| Tentatives ou menaces de suicide | 6 | (7,1 %) | 3 | (3,6 %) | -0,08 |
| Faible estime de soi | 18 | (20,9 %) | 8 | (9,4 %) | -0,16* |
| Timidité ou introversion | 5 | (5,8 %) | 1 | (1,2 %) | -0,13 |
| Diagnostic d'un trouble mental sérieux | 0 | (0,0 %) | 0 | (0,0 %) | 0,00 |
| Autres preuves de trouble émotionnel | 2 | (2,4 %) | 8 | (9,3 %) | 0,15 |
| Victime de violence familiale | 23 | (27,7 %) | 27 | (31,4 %) | 0,04 |
| Victime d'agression physique | 18 | (21,4 %) | 20 | (23,5 %) | 0,03 |
| Victime d'agression sexuelle | 10 | (11,9 %) | 6 | (7,1 %) | -0,08 |
| Victime d'abus psychologique | 9 | (10,6 %) | 7 | (8,2 %) | -0,04 |
| Victime de négligence | 7 | (8,3 %) | 6 | (7,1 %) | -0,02 |
| Autre | 8 | (9,3 %) | 4 | (4,7 %) | -0,09 |
*p < 0,05 **p < 0,01 ***p < 0,001
| Non-membres | Membres de gangs |
||||
|---|---|---|---|---|---|
| n | % | n | % | phi | |
| Motivation déficiente | 35 | (41,2 %) | 47 | (54,7 %) | 0,14 |
| Déni ou minimisation | 52 | (61,2 %) | 62 | (72,1 %) | 0,12 |
| Anxiété dans les relations interpersonnelles | 3 | (3,5 %) | 2 | (2,3 %) | -0,04 |
| Préoccupations propres à la femme | 0 | (0,0 %) | 0 | (0,0 %) | 0,00 |
| Questions culturelles | 1 | (1,2 %) | 5 | (5,8 %) | 0,13 |
| Questions liées à l'origine ethnique | 3 | (3,5 %) | 10 | (11,6 %) | 0,15* |
| Faible intelligence | 0 | (0,0 %) | 0 | (0,0 %) | 0,00 |
| Entraves à la communication | 2 | (2,4 %) | 1 | (1,2 %) | -0,05 |
| Trouble mental | 1 | (1,2 %) | 0 | (0,0 %) | -0,08 |
| Personnalité antisociale ou psychopathie | 3 | (3,6 %) | 2 | (2,4 %) | -0,03 |
| Autre | 3 | (3,5 %) | 7 | (8,1 %) | 0,10 |
*p < 0,05 **p < 0,01 ***p < 0,001
Notes
- 1
La ville de Montréal, dont la population s'élève à 1 854 442 habitants, est la plus grande agglomération urbaine du Québec et la plus touchée par les activités criminelles de ces groupes. Elle compte 4 407 policiers.
- 2
L'algorithme a été développé en collaboration avec M. Ismaïl Khriss, du Département de mathématiques, informatique et génie de l'Université du Québec à Rimouski, et de M. Gino Chénard du Département d'informatique de l'Université du Québec à Montréal.
- Date de modification :
